Suppr超能文献

一种用于预测早期肝细胞癌患者消融治疗后总生存期的新型列线图。

A novel nomogram to predict the overall survival of early-stage hepatocellular carcinoma patients following ablation therapy.

作者信息

Zhang Honghai, Sheng Shugui, Qiao Wenying, Han Ming, Jin Ronghua

机构信息

Interventional Therapy Center for Oncology, Beijing You'an Hospital, Capital Medical University, Beijing, China.

Beijing Key Laboratory of Emerging Infectious Diseases, Institute of Infectious Diseases, Beijing Ditan Hospital, Capital Medical University, Beijing, China.

出版信息

Front Oncol. 2024 Feb 7;14:1340286. doi: 10.3389/fonc.2024.1340286. eCollection 2024.

Abstract

INTRODUCTION

This study aimed to assess factors affecting the prognosis of early-stage hepatocellular carcinoma (HCC) patients undergoing ablation therapy and create a nomogram for predicting their 3-, 5-, and 8-year overall survival (OS).

METHODS

The research included 881 early-stage HCC patients treated at Beijing You'an Hospital, affiliated with Capital Medical University, from 2014 to 2022. A nomogram was developed using independent prognostic factors identified by Lasso and multivariate Cox regression analyses. Its predictive performance was evaluated with concordance index (C-index), receiver operating characteristic curve (ROC), calibration curve, and decision curve analysis (DCA).

RESULTS

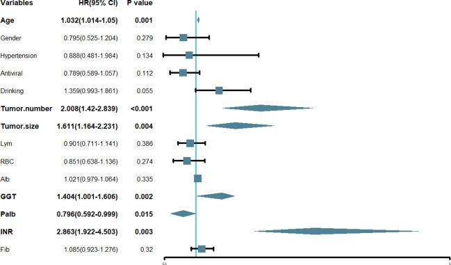
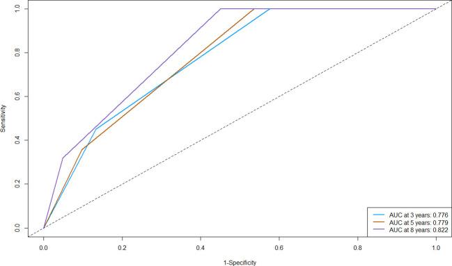
The study identified age, tumor number, tumor size, gamma-glutamyl transpeptidase (GGT), international normalized ratio (INR), and prealbumin (Palb) as independent prognostic risk factors. The nomogram achieved C-indices of 0.683 (primary cohort) and 0.652 (validation cohort), with Area Under the Curve (AUC) values of 0.776, 0.779, and 0.822 (3-year, 5-year, and 8-year OS, primary cohort) and 0.658, 0.724, and 0.792 (validation cohort), indicating that the nomogram possessed strong discriminative ability. Calibration and DCA curves further confirmed the nomogram's predictive accuracy and clinical utility. The nomogram can effectively stratify patients into low-, intermediate-, and high-risk groups, particularly identifying high-risk patients.

CONCLUSIONS

The established nomogram in our study can provide precise prognostic information for HCC patients following ablation treatment and enable physicians to accurately identify high-risk individuals and facilitate timely intervention.

摘要

引言

本研究旨在评估影响接受消融治疗的早期肝细胞癌(HCC)患者预后的因素,并创建一个列线图来预测他们3年、5年和8年的总生存率(OS)。

方法

该研究纳入了2014年至2022年在首都医科大学附属北京佑安医院接受治疗的881例早期HCC患者。使用通过Lasso和多变量Cox回归分析确定的独立预后因素来构建列线图。通过一致性指数(C指数)、受试者工作特征曲线(ROC)、校准曲线和决策曲线分析(DCA)来评估其预测性能。

结果

该研究确定年龄、肿瘤数量、肿瘤大小、γ-谷氨酰转肽酶(GGT)、国际标准化比值(INR)和前白蛋白(Palb)为独立的预后风险因素。该列线图在主要队列中的C指数为0.683,在验证队列中的C指数为0.652,主要队列的曲线下面积(AUC)值分别为0.776、0.779和0.822(3年、5年和8年总生存率),验证队列的AUC值分别为0.658、0.724和0.792,表明该列线图具有很强的判别能力。校准曲线和DCA曲线进一步证实了列线图的预测准确性和临床实用性。该列线图可以有效地将患者分为低风险、中风险和高风险组,尤其能识别出高风险患者。

结论

我们研究中建立的列线图可以为接受消融治疗后的HCC患者提供精确的预后信息,并使医生能够准确识别高风险个体并促进及时干预。

https://cdn.ncbi.nlm.nih.gov/pmc/blobs/a25f/10880021/e0d29923424a/fonc-14-1340286-g001.jpg

文献AI研究员

20分钟写一篇综述,助力文献阅读效率提升50倍。

立即体验

用中文搜PubMed

大模型驱动的PubMed中文搜索引擎

马上搜索

文档翻译

学术文献翻译模型,支持多种主流文档格式。

立即体验