• 文献检索
  • 文档翻译
  • 深度研究
  • 学术资讯
  • Suppr Zotero 插件Zotero 插件
  • 邀请有礼
  • 套餐&价格
  • 历史记录
应用&插件
Suppr Zotero 插件Zotero 插件浏览器插件Mac 客户端Windows 客户端微信小程序
定价
高级版会员购买积分包购买API积分包
服务
文献检索文档翻译深度研究API 文档MCP 服务
关于我们
关于 Suppr公司介绍联系我们用户协议隐私条款
关注我们

Suppr 超能文献

核心技术专利:CN118964589B侵权必究
粤ICP备2023148730 号-1Suppr @ 2026

文献检索

告别复杂PubMed语法,用中文像聊天一样搜索,搜遍4000万医学文献。AI智能推荐,让科研检索更轻松。

立即免费搜索

文件翻译

保留排版,准确专业,支持PDF/Word/PPT等文件格式,支持 12+语言互译。

免费翻译文档

深度研究

AI帮你快速写综述,25分钟生成高质量综述,智能提取关键信息,辅助科研写作。

立即免费体验

通过低温等离子体合成的氮含氧酸在生物废物中保留氨:迈向动物粪便的可持续升级回收利用

Ammonia Retention in Biowaste via Low-Temperature-Plasma-Synthesized Nitrogen Oxyacids: Toward Sustainable Upcycling of Animal Waste.

作者信息

Miller Victor V, Clark Douglas S, Mesbah Ali

机构信息

Department of Chemical and Biomolecular Engineering, University of California, Berkeley, California 94720, United States.

出版信息

ACS Sustain Chem Eng. 2024 Feb 5;12(7):2621-2631. doi: 10.1021/acssuschemeng.3c06423. eCollection 2024 Feb 19.

DOI:10.1021/acssuschemeng.3c06423
PMID:38389902
原文链接:https://pmc.ncbi.nlm.nih.gov/articles/PMC10880101/
Abstract

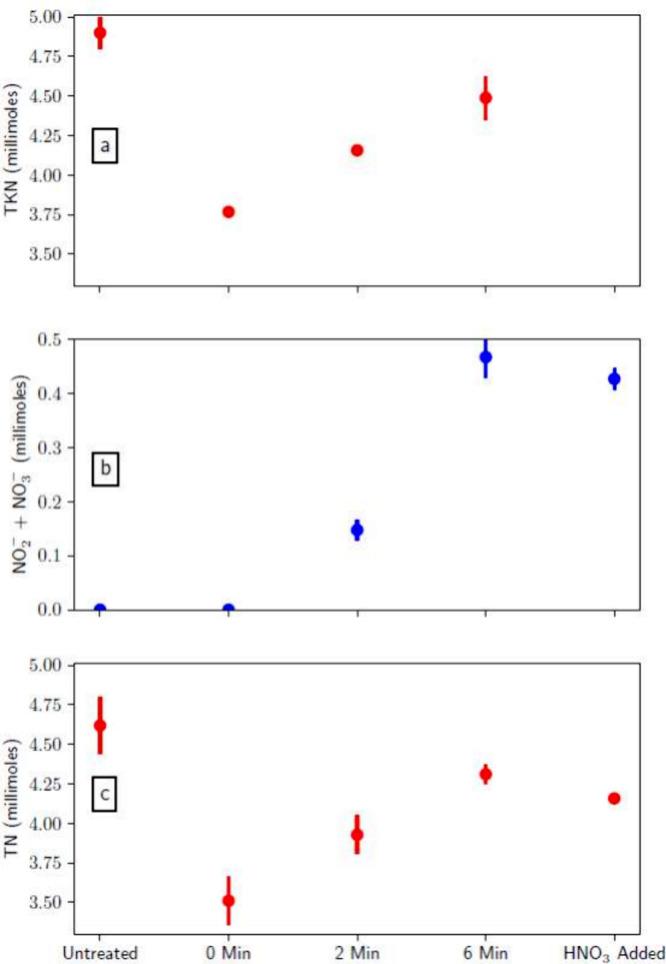
Sustainable fertilizer production is a pressing challenge due to a growing human population. The manufacture of synthetic nitrogen fertilizer involves intensive emissions of greenhouse gases. The synthetic nitrogen that ends up in biowaste such as animal waste perturbs the nitrogen cycle through significant nitrogen losses in the form of ammonia volatilization, a major human health and environmental hazard. Low-temperature air-plasma treatment of animal waste holds promise for sustainable fertilizer production on farmlands by enabling nitrogen fixation via ionization, forming nitrogen oxyacids. Although the formation of nitrogen oxyacids in plasma treatment of water is well-established, the extent of nitrogen oxyanion enrichment in animal waste and its downstream effects on acidifying the waste remain elusive because many compounds found in complex biowaste media may interfere with absorbed NO species. This work aims to establish that plasma treatment of dairy manure can suppress ammonia loss by volatilization via acidification of animal waste while enriching the waste in total nitrogen due to nitrogen retained in ammonia as well as adding nitrogen oxyacids by reacting NO with the aqueous slurry. To this end, air-plasma effluent containing NO is bubbled through dairy manure, which is then analyzed for changes in the nitrogen oxyanion content and pH. Increasing the plasma treatment time results in more acidic manure, reduced ammonium content in the downstream acid trap, and increased nitrogen oxyanion content, where the yield of nitrogen oxyanion from absorbed NO species is approximately 100%. Increased plasma treatment also led to an increase in the total Kjeldahl nitrogen and the total nitrogen. These results indicate that plasma treatment of animal waste can significantly suppress ammonia pollution from animal husbandry facilities such as dairy farms while upcycling animal waste as a rich organic source of nitrogen.

摘要

由于人口不断增长,可持续肥料生产成为一项紧迫的挑战。合成氮肥的生产涉及大量温室气体排放。最终进入动物粪便等生物废弃物中的合成氮,会以氨挥发的形式造成大量氮损失,从而扰乱氮循环,氨挥发是一种主要的人类健康和环境危害。对动物粪便进行低温空气等离子体处理,有望通过电离实现固氮,形成氮含氧酸,从而在农田实现可持续肥料生产。虽然在水的等离子体处理中氮含氧酸的形成已得到充分证实,但在动物粪便中氮含氧阴离子的富集程度及其对粪便酸化的下游影响仍不明确,因为在复杂的生物废弃物介质中发现的许多化合物可能会干扰吸收的NO物种。这项工作旨在证明,通过酸化动物粪便,等离子体处理奶牛粪便可以抑制氨挥发损失,同时由于氨中保留的氮使粪便中的总氮增加,并通过使NO与含水浆液反应添加氮含氧酸。为此,将含有NO的空气等离子体流出物鼓泡通过奶牛粪便,然后分析粪便中氮含氧阴离子含量和pH值的变化。增加等离子体处理时间会使粪便酸性增强,下游酸阱中的铵含量降低,氮含氧阴离子含量增加,其中吸收的NO物种产生氮含氧阴离子的产率约为100%。增加等离子体处理还导致凯氏定氮法测定的总氮和总氮含量增加。这些结果表明,等离子体处理动物粪便可以显著抑制奶牛场等畜牧设施的氨污染,同时将动物粪便升级为富含氮的有机源。

https://cdn.ncbi.nlm.nih.gov/pmc/blobs/0fbb/10880101/093df58b1323/sc3c06423_0010.jpg
https://cdn.ncbi.nlm.nih.gov/pmc/blobs/0fbb/10880101/09c4d0be5e71/sc3c06423_0001.jpg
https://cdn.ncbi.nlm.nih.gov/pmc/blobs/0fbb/10880101/1ebe81952b62/sc3c06423_0002.jpg
https://cdn.ncbi.nlm.nih.gov/pmc/blobs/0fbb/10880101/eabc21f63112/sc3c06423_0003.jpg
https://cdn.ncbi.nlm.nih.gov/pmc/blobs/0fbb/10880101/9af75decfeec/sc3c06423_0004.jpg
https://cdn.ncbi.nlm.nih.gov/pmc/blobs/0fbb/10880101/c822445fabc3/sc3c06423_0005.jpg
https://cdn.ncbi.nlm.nih.gov/pmc/blobs/0fbb/10880101/aa926a76596a/sc3c06423_0006.jpg
https://cdn.ncbi.nlm.nih.gov/pmc/blobs/0fbb/10880101/562b5b4545de/sc3c06423_0007.jpg
https://cdn.ncbi.nlm.nih.gov/pmc/blobs/0fbb/10880101/35de5cebacd8/sc3c06423_0008.jpg
https://cdn.ncbi.nlm.nih.gov/pmc/blobs/0fbb/10880101/211ec10d2885/sc3c06423_0009.jpg
https://cdn.ncbi.nlm.nih.gov/pmc/blobs/0fbb/10880101/093df58b1323/sc3c06423_0010.jpg
https://cdn.ncbi.nlm.nih.gov/pmc/blobs/0fbb/10880101/09c4d0be5e71/sc3c06423_0001.jpg
https://cdn.ncbi.nlm.nih.gov/pmc/blobs/0fbb/10880101/1ebe81952b62/sc3c06423_0002.jpg
https://cdn.ncbi.nlm.nih.gov/pmc/blobs/0fbb/10880101/eabc21f63112/sc3c06423_0003.jpg
https://cdn.ncbi.nlm.nih.gov/pmc/blobs/0fbb/10880101/9af75decfeec/sc3c06423_0004.jpg
https://cdn.ncbi.nlm.nih.gov/pmc/blobs/0fbb/10880101/c822445fabc3/sc3c06423_0005.jpg
https://cdn.ncbi.nlm.nih.gov/pmc/blobs/0fbb/10880101/aa926a76596a/sc3c06423_0006.jpg
https://cdn.ncbi.nlm.nih.gov/pmc/blobs/0fbb/10880101/562b5b4545de/sc3c06423_0007.jpg
https://cdn.ncbi.nlm.nih.gov/pmc/blobs/0fbb/10880101/35de5cebacd8/sc3c06423_0008.jpg
https://cdn.ncbi.nlm.nih.gov/pmc/blobs/0fbb/10880101/211ec10d2885/sc3c06423_0009.jpg
https://cdn.ncbi.nlm.nih.gov/pmc/blobs/0fbb/10880101/093df58b1323/sc3c06423_0010.jpg

相似文献

1
Ammonia Retention in Biowaste via Low-Temperature-Plasma-Synthesized Nitrogen Oxyacids: Toward Sustainable Upcycling of Animal Waste.通过低温等离子体合成的氮含氧酸在生物废物中保留氨:迈向动物粪便的可持续升级回收利用
ACS Sustain Chem Eng. 2024 Feb 5;12(7):2621-2631. doi: 10.1021/acssuschemeng.3c06423. eCollection 2024 Feb 19.
2
Prevention and control of losses of gaseous nitrogen compounds in livestock operations: a review.畜牧生产中气态氮化合物损失的防控:综述
ScientificWorldJournal. 2001 Nov 27;1 Suppl 2:844-51. doi: 10.1100/tsw.2001.339.
3
Effect of adding alum or zeolite to dairy slurry on ammonia volatilization and chemical composition.向乳牛粪便浆液中添加明矾或沸石对氨挥发及化学成分的影响。
J Dairy Sci. 2001 Aug;84(8):1814-21. doi: 10.3168/jds.S0022-0302(01)74620-6.
4
Hydrothermal carbonization of biogas slurry and cattle manure into soil conditioner mitigates ammonia volatilization from paddy soil.沼气渣和牛粪的水热碳化制成土壤调理剂可减轻稻田氨挥发。
Chemosphere. 2023 Dec;344:140378. doi: 10.1016/j.chemosphere.2023.140378. Epub 2023 Oct 6.
5
Nitrogen potential recovery and concentration of ammonia from swine manure using electrodialysis coupled with air stripping.电渗析结合空气吹脱回收猪粪中氮潜力并浓缩氨。
J Environ Manage. 2012 Mar;95 Suppl:S165-9. doi: 10.1016/j.jenvman.2011.05.026. Epub 2011 Jun 11.
6
Ammonia Volatilization and Greenhouse Gases Emissions during Vermicomposting with Animal Manures and Biochar to Enhance Sustainability.利用动物粪便和生物炭进行堆肥以提高可持续性过程中的氨挥发和温室气体排放。
Int J Environ Res Public Health. 2020 Dec 29;18(1):178. doi: 10.3390/ijerph18010178.
7
The Minderoo-Monaco Commission on Plastics and Human Health.美诺集团-摩纳哥基金会塑料与人体健康委员会
Ann Glob Health. 2023 Mar 21;89(1):23. doi: 10.5334/aogh.4056. eCollection 2023.
8
Ammonia volatilization as the major nitrogen loss pathway in dryland agro-ecosystems.旱地农业生态系统中氨挥发是氮素损失的主要途径。
Environ Pollut. 2020 Oct;265(Pt A):114862. doi: 10.1016/j.envpol.2020.114862. Epub 2020 May 27.
9
Impact of co-digestion on existing salt and nutrient mass balances for a full-scale dairy energy project.协同消化对大型乳品能源项目现有盐和养分质量平衡的影响。
J Environ Manage. 2013 Oct 15;128:233-42. doi: 10.1016/j.jenvman.2013.04.060. Epub 2013 Jun 7.
10
Managing ammonia emissions from dairy cows by amending slurry with alum or zeolite or by diet modification.通过用明矾或沸石改良粪肥或通过调整日粮来管理奶牛的氨气排放。
ScientificWorldJournal. 2001 Oct 27;1 Suppl 2:860-5. doi: 10.1100/tsw.2001.100.

本文引用的文献

1
A world of co-benefits: Solving the global nitrogen challenge.一个多重效益的世界:应对全球氮挑战
Earths Future. 2019;7:1-8. doi: 10.1029/2019EF001222.
2
The State of Research on Antimicrobial Activity of Cold Plasma.冷等离子体抗菌活性的研究现状
Pol J Microbiol. 2019;68(2):153-164. doi: 10.33073/pjm-2019-028.
3
Analysis of Short-Lived Reactive Species in Plasma-Air-Water Systems: The Dos and the Do Nots.等离子体-空气-水系统中短寿命活性物种的分析:注意事项。
Anal Chem. 2018 Nov 20;90(22):13151-13158. doi: 10.1021/acs.analchem.8b03336. Epub 2018 Oct 18.
4
Nitric oxide: a brief overview of chemical and physical properties relevant to therapeutic applications.一氧化氮:与治疗应用相关的化学和物理性质简述。
Future Sci OA. 2015 Aug 1;1(1):FSO59. doi: 10.4155/fso.15.59. eCollection 2015 Aug.
5
Archaea produce lower yields of N O than bacteria during aerobic ammonia oxidation in soil.在土壤好氧氨氧化过程中,古菌产生的一氧化氮(NO)产量低于细菌。
Environ Microbiol. 2017 Dec;19(12):4829-4837. doi: 10.1111/1462-2920.13282. Epub 2016 Apr 28.
6
Non-Thermal Plasma in Contact with Water: The Origin of Species.与水接触的非热等离子体:活性物种的起源
Chemistry. 2016 Mar 1;22(10):3496-3505. doi: 10.1002/chem.201503771. Epub 2016 Feb 2.
7
Comparison on batch anaerobic digestion of five different livestock manures and prediction of biochemical methane potential (BMP) using different statistical models.比较五种不同家畜粪便的批量厌氧消化和使用不同统计模型预测生物甲烷潜力(BMP)。
Waste Manag. 2016 Feb;48:492-502. doi: 10.1016/j.wasman.2015.10.021. Epub 2015 Oct 31.
8
Sustainability. Planetary boundaries: guiding human development on a changing planet.可持续性。行星边界:在不断变化的星球上指导人类发展。
Science. 2015 Feb 13;347(6223):1259855. doi: 10.1126/science.1259855. Epub 2015 Jan 15.
9
Acidification of animal slurry--a review.动物粪便酸化——综述。
J Environ Manage. 2015 Feb 1;149:46-56. doi: 10.1016/j.jenvman.2014.10.001. Epub 2014 Oct 29.
10
Atmospheric science. Getting a better estimate of an atmospheric radical.大气科学。更准确地估算一种大气自由基。
Science. 2011 Jan 7;331(6013):38-9. doi: 10.1126/science.1199773.