Suppr超能文献

估算各种几何形状管道的固有频率:频率因子的改进。

Estimating natural frequency of pipe with various geometries: Improvement of frequency factors.

作者信息

Saari Noor Fariza, Putra Azma, Dan Reduan Mat, Zeli Muhammad Agus, Ramlan Roszaidi, Abdul Jalil Nawal Aswan, Herawan Safarudin

机构信息

Fakulti Teknologi dan Kejuruteraan Mekanikal, Universiti Teknikal Malaysia Melaka, Hang Tuah Jaya, 76100, Durian Tunggal, Malaysia.

Faculty of Resilience, Rabdan Academy, Abu Dhabi P.O. Box 114646, United Arab Emirates.

出版信息

Heliyon. 2024 Feb 14;10(4):e26148. doi: 10.1016/j.heliyon.2024.e26148. eCollection 2024 Feb 29.

Abstract

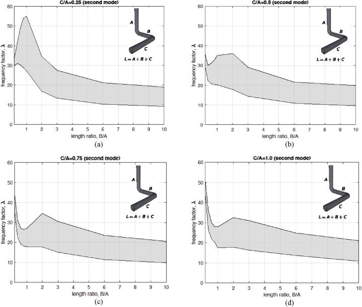
Piping system is the main structure in many industrial applications, especially for large industry relating with processing and transporting fluids, such as oil and gas industries. The fluid-induced vibration is often the cause of structural fatigue in pipes and therefore piping vibration need to be closely monitored. In case of high piping vibration, knowledge of the natural frequency of a pipe section is crucial for an engineer to propose the right troubleshoot action, either for a temporary or even for a long-term solution for the piping vibration. Therefore, prediction of the pipe natural frequency using a simple formulae is thus of interest, without dealing with complex numerical simulation using a commercial software which consumes cost and time. In this paper, the vibration mode shapes of various possible geometries of pipes in practice were simulated in ANSYS and the simulated natural frequency is related to a natural frequency of an Euler-Bernoulli beam using a correction factor for each corresponding piping geometry. This paper extends the previous work by allowing the boundary conditions of the pipe ends to be simply supported, in addition to the clamped edges. In this way, the frequency factor charts are presented in the range of possible correction factor values to accommodate the real conditions of pipe arrangement in practical application. An experiment from a case study to verify the proposed method is also presented.

摘要

管道系统是许多工业应用中的主要结构,特别是对于涉及流体加工和输送的大型工业,如石油和天然气行业。流体诱发的振动常常是管道结构疲劳的原因,因此需要密切监测管道振动。在管道振动较高的情况下,了解管段的固有频率对于工程师提出正确的故障排除措施至关重要,无论是临时措施还是针对管道振动的长期解决方案。因此,使用简单公式预测管道固有频率很有意义,而无需使用消耗成本和时间的商业软件进行复杂的数值模拟。本文在ANSYS中模拟了实际中各种可能几何形状管道的振动模态,并用每个相应管道几何形状的修正因子将模拟的固有频率与欧拉-伯努利梁的固有频率相关联。本文扩展了先前的工作,除了固定端外,还允许管端边界条件为简支。通过这种方式,给出了频率因子图表,其范围为可能的修正因子值,以适应实际应用中管道布置的实际情况。还给出了一个案例研究的实验来验证所提出的方法。

https://cdn.ncbi.nlm.nih.gov/pmc/blobs/a8e8/10882035/848ff096c028/gr1.jpg

文献AI研究员

20分钟写一篇综述,助力文献阅读效率提升50倍。

立即体验

用中文搜PubMed

大模型驱动的PubMed中文搜索引擎

马上搜索

文档翻译

学术文献翻译模型,支持多种主流文档格式。

立即体验