Suppr超能文献

用于可持续建筑和文化遗产保护的天然水硬性石灰基悬浮液流变特性分析

Analysis of the Rheological Properties of Natural Hydraulic Lime-Based Suspensions for Sustainable Construction and Heritage Conservation.

作者信息

De La Rosa Ángel, Ruiz Gonzalo, Moreno Rodrigo

机构信息

ETS de Ingenieros de Caminos, C. y P., Universidad de Castilla-La Mancha, Av. Camilo José Cela 2, 13071 Ciudad Real, Spain.

Instituto de Cerámica y Vidrio (CSIC), C. Kelsen 5, Campus de Cantoblanco, 28049 Madrid, Spain.

出版信息

Materials (Basel). 2024 Feb 8;17(4):825. doi: 10.3390/ma17040825.

Abstract

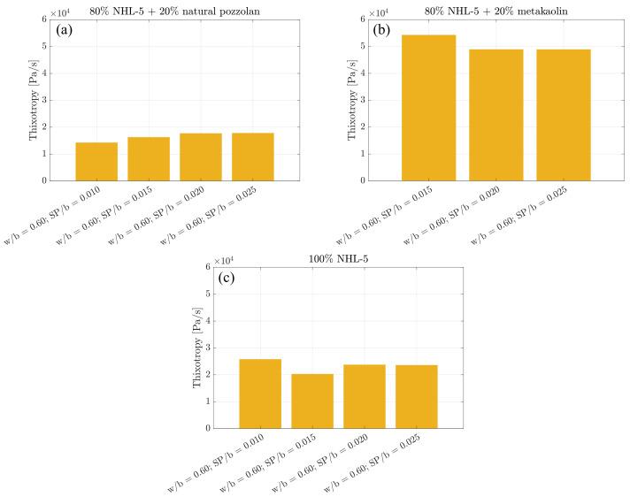
Natural hydraulic lime (NHL)-based binders play a crucial role in preserving cultural heritage structures, ensuring integrity and longevity. Beyond traditional uses, these binders exhibit potential for integration into both non-structural and structural components, being compatible with innovative manufacturing processes such as digital fabrication. Meticulously designed grouts, with applicability in their fresh and hardened states, are essential for heritage stability. This study explores the relationships between mineral additions, chemical admixtures, and lime for grout formulations, aiming to advance our understanding and inform the optimization of materials for heritage restoration. Key questions include the influence of natural volcanic pozzolan (NVP) and metakaolin (MK) on rheology and the impact of varying ratios of superplasticizer on NHL-based grout's rheological behavior. This systematic evaluation of rheological parameters aims to innovate mix designs, expanding NHL-based binders' applicability in construction and science. Our hypotheses suggest that well-designed lime grout formulations, incorporating NVP and MK, can enhance rheological properties, addressing challenges in sustainable construction and heritage conservation. This research provides valuable insights for optimizing lime-based materials, fostering advancements in heritage restoration, and promoting wider NHL-based binder adoption in diverse construction applications.

摘要

基于天然水硬石灰(NHL)的粘结剂在保护文化遗产结构、确保其完整性和耐久性方面发挥着关键作用。除了传统用途外,这些粘结剂还具有融入非结构和结构部件的潜力,并且与数字制造等创新制造工艺兼容。精心设计的灌浆材料,无论在其新鲜状态还是硬化状态下都具有适用性,对于遗产的稳定性至关重要。本研究探讨了矿物掺合料、化学外加剂和石灰在灌浆配方中的关系,旨在增进我们的理解,并为遗产修复材料的优化提供参考。关键问题包括天然火山灰质材料(NVP)和偏高岭土(MK)对流变性的影响,以及不同减水剂比例对基于NHL的灌浆材料流变行为的影响。这种对流变参数的系统评估旨在创新混合料设计,扩大基于NHL的粘结剂在建筑和科学领域的适用性。我们的假设表明,精心设计的石灰灌浆配方,加入NVP和MK,可以增强流变性能,应对可持续建筑和遗产保护中的挑战。这项研究为优化石灰基材料、推动遗产修复的进步以及促进基于NHL的粘结剂在各种建筑应用中的更广泛采用提供了宝贵的见解。

https://cdn.ncbi.nlm.nih.gov/pmc/blobs/11b5/10890018/fd1e9c68770b/materials-17-00825-g001.jpg

文献AI研究员

20分钟写一篇综述,助力文献阅读效率提升50倍。

立即体验

用中文搜PubMed

大模型驱动的PubMed中文搜索引擎

马上搜索

文档翻译

学术文献翻译模型,支持多种主流文档格式。

立即体验