Suppr超能文献

外周免疫细胞特征与帕金森病:一项孟德尔随机化研究。

Peripheral immune cell traits and Parkinson's disease: A Mendelian randomization study.

机构信息

Zheng Zhou Railway Vocational and Technical College, Zhengzhou, Henan, China.

Department of Neurology, The First Affiliated Hospital of Zhengzhou University, Zhengzhou University, Zhengzhou, Henan, China.

出版信息

PLoS One. 2024 Mar 5;19(3):e0299026. doi: 10.1371/journal.pone.0299026. eCollection 2024.

Abstract

BACKGROUND

The peripheral immune system is altered in Parkinson's disease (PD), but the causal relationship between the two remains controversial. In this study, we aimed to estimate the causal relationship between peripheral immune features and PD using a two-sample Mendelian randomization (MR) approach.

METHODS

Genome-wide association study (GWAS) data of peripheral blood immune signatures from European populations were used for exposure and PD summary statistics were used as results. We conducted a two-sample MR study using the inverse-variance weighted (IVW), MR-Egger, and weighted median methods to evaluate the causal association between these factors. MR-Egger and MR-PRESSO were used for sensitivity analysis to test and correct horizontal pleiotropy.

RESULTS

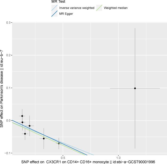
A total of 731 immune traits were analyzed for association with PD using three MR methods. After adjustment for FDR, we observed four peripheral immunological features associated with PD using the IVW method, including expression of CX3CR1 on monocytes [OR: 0.85, 95% CI: (0.81, 0.91), P = 6.56E-07] and CX3CR1 on CD14+CD16+ monocytes [OR: 0.87, 95% CI: (0.82, 0.93), P = 9.95E-06].

CONCLUSIONS

Our study further revealed the important role of monocytes in PD and indicated that CX3CR1 expression on monocytes is associated with a reduced risk of PD.

摘要

背景

帕金森病(PD)患者外周免疫系统发生改变,但两者之间的因果关系仍存在争议。本研究采用两样本孟德尔随机化(MR)方法,旨在评估外周免疫特征与 PD 之间的因果关系。

方法

采用全基因组关联研究(GWAS)欧洲人群外周血免疫特征的 GWAS 数据作为暴露因素,PD 汇总统计数据作为结果。采用逆方差加权(IVW)、MR-Egger 和加权中位数方法进行两样本 MR 研究,评估这些因素之间的因果关联。采用 MR-Egger 和 MR-PRESSO 进行敏感性分析,以检验和校正水平多效性。

结果

采用三种 MR 方法共分析了 731 种免疫特征与 PD 的相关性。经 FDR 调整后,我们发现 IVW 方法有 4 种外周免疫特征与 PD 相关,包括单核细胞上的 CX3CR1 表达[OR:0.85,95%CI:(0.81,0.91),P = 6.56E-07]和 CD14+CD16+单核细胞上的 CX3CR1 表达[OR:0.87,95%CI:(0.82,0.93),P = 9.95E-06]。

结论

本研究进一步揭示了单核细胞在 PD 中的重要作用,并表明单核细胞上的 CX3CR1 表达与 PD 风险降低有关。

https://cdn.ncbi.nlm.nih.gov/pmc/blobs/2136/10914262/471e798f8dd0/pone.0299026.g001.jpg

文献AI研究员

20分钟写一篇综述,助力文献阅读效率提升50倍。

立即体验

用中文搜PubMed

大模型驱动的PubMed中文搜索引擎

马上搜索

文档翻译

学术文献翻译模型,支持多种主流文档格式。

立即体验