Suppr超能文献

有临床随访链接的孟德尔随机化研究将代谢物与肺动脉高压的风险和严重程度联系起来。

Mendelian Randomization Study With Clinical Follow-Up Links Metabolites to Risk and Severity of Pulmonary Arterial Hypertension.

机构信息

Sheffield Institute for Translational Neuroscience (SITraN), University of Sheffield Sheffield UK.

Department of Nursing, Faculty of Applied Medical Sciences Taif University Taif Saudi Arabia.

出版信息

J Am Heart Assoc. 2024 Mar 19;13(6):e032256. doi: 10.1161/JAHA.123.032256. Epub 2024 Mar 8.

Abstract

BACKGROUND

Pulmonary arterial hypertension (PAH) exhibits phenotypic heterogeneity and variable response to therapy. The metabolome has been implicated in the pathogenesis of PAH, but previous works have lacked power to implicate specific metabolites. Mendelian randomization (MR) is a method for causal inference between exposures and outcomes.

METHODS AND RESULTS

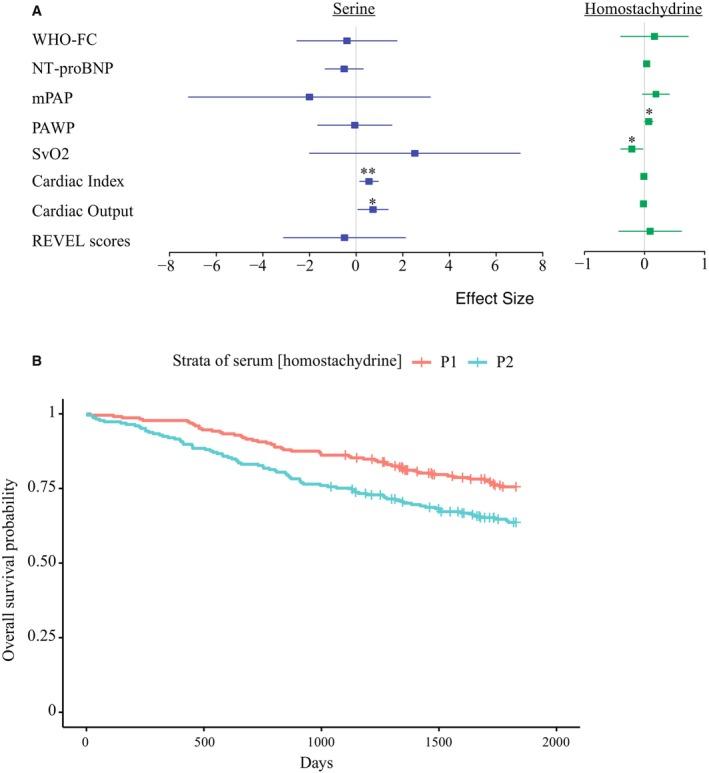
Using genome-wide association study summary statistics, we implemented MR analysis to test for potential causal relationships between serum concentration of 575 metabolites and PAH. Five metabolites were causally associated with the risk of PAH after multiple testing correction. Next, we measured serum concentration of candidate metabolites in an independent clinical cohort of 449 patients with PAH to check whether metabolite concentrations are correlated with markers of disease severity. Of the 5 candidates nominated by our MR work, serine was negatively associated and homostachydrine was positively associated with clinical severity of PAH via direct measurement in this independent clinical cohort. Finally we used conditional and orthogonal approaches to explore the biology underlying our lead metabolites. Rare variant burden testing was carried out using whole exome sequencing data from 578 PAH cases and 361 675 controls. Multivariable MR is an extension of MR that uses a single set of instrumental single-nucleotide polymorphisms to measure multiple exposures; multivariable MR is used to determine interdependence between the effects of different exposures on a single outcome. Rare variant analysis demonstrated that loss-of-function mutations within activating transcription factor 4, a transcription factor responsible for upregulation of serine synthesis under conditions of serine starvation, are associated with higher risk for PAH. Homostachydrine is a xenobiotic metabolite that is structurally related to l-proline betaine, which has previously been linked to modulation of inflammation and tissue remodeling in PAH. Our multivariable MR analysis suggests that the effect of l-proline betaine is actually mediated indirectly via homostachydrine.

CONCLUSIONS

Our data present a method for study of the metabolome in the context of PAH, and suggests several candidates for further evaluation and translational research.

摘要

背景

肺动脉高压(PAH)表现出表型异质性和对治疗的可变反应。代谢组学与 PAH 的发病机制有关,但以前的研究缺乏鉴定特定代谢物的能力。孟德尔随机化(MR)是一种用于暴露与结果之间因果关系推断的方法。

方法和结果

我们使用全基因组关联研究汇总统计数据,实施了 MR 分析,以测试 575 种代谢物的血清浓度与 PAH 之间的潜在因果关系。在多次测试校正后,有 5 种代谢物与 PAH 的发病风险有因果关系。接下来,我们在一个包含 449 名 PAH 患者的独立临床队列中测量了候选代谢物的血清浓度,以检查代谢物浓度是否与疾病严重程度的标志物相关。在这个独立的临床队列中,通过直接测量,我们的 MR 工作提名的 5 个候选物中,丝氨酸呈负相关,同型精氨酸呈正相关。最后,我们使用条件和正交方法探索我们的主要代谢物背后的生物学。我们使用 578 例 PAH 病例和 361675 例对照的外显子组测序数据进行罕见变异负担测试。多变量 MR 是一种扩展的 MR,它使用一组单一的工具单核苷酸多态性来测量多个暴露;多变量 MR 用于确定不同暴露对单一结果的影响之间的相互依赖性。罕见变异分析表明,在丝氨酸饥饿条件下负责丝氨酸合成上调的激活转录因子 4 内的功能丧失突变与 PAH 的风险增加相关。同型精氨酸是一种外源性代谢物,其结构与 l-脯氨酸甜菜碱有关,l-脯氨酸甜菜碱以前与 PAH 中的炎症和组织重塑的调节有关。我们的多变量 MR 分析表明,l-脯氨酸甜菜碱的作用实际上是通过同型精氨酸间接介导的。

结论

我们的数据提出了一种在 PAH 背景下研究代谢组学的方法,并提出了一些进一步评估和转化研究的候选物。

https://cdn.ncbi.nlm.nih.gov/pmc/blobs/0ac2/11010003/5a731c30be9d/JAH3-13-e032256-g004.jpg

文献AI研究员

20分钟写一篇综述,助力文献阅读效率提升50倍。

立即体验

用中文搜PubMed

大模型驱动的PubMed中文搜索引擎

马上搜索

文档翻译

学术文献翻译模型,支持多种主流文档格式。

立即体验