Suppr超能文献

结构酶学研究表明,与底物 3S-羟基丁酰辅酶 A 结合时,多功能 MFE1 的脱氢酶活性比单功能 HAD 低。

Structural enzymology studies with the substrate 3S-hydroxybutanoyl-CoA: bifunctional MFE1 is a less efficient dehydrogenase than monofunctional HAD.

机构信息

Faculty of Biochemistry and Molecular Medicine, University of Oulu, Finland.

Biocenter Oulu, University of Oulu, Finland.

出版信息

FEBS Open Bio. 2024 Apr;14(4):655-674. doi: 10.1002/2211-5463.13786. Epub 2024 Mar 8.

Abstract

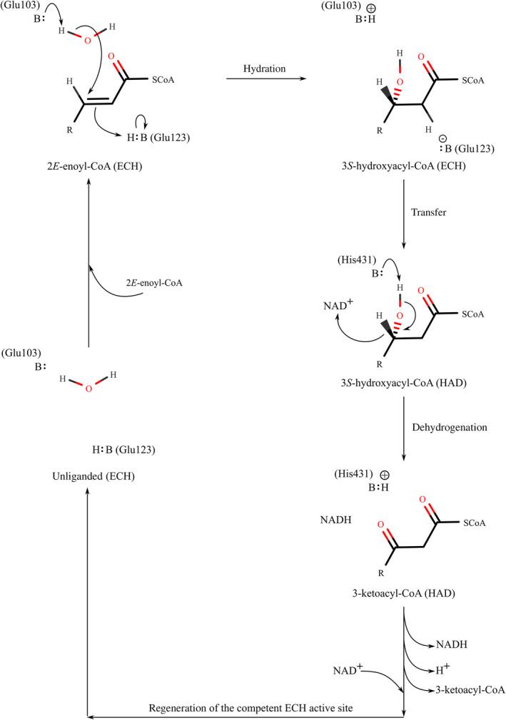
Multifunctional enzyme, type-1 (MFE1) catalyzes the second and third step of the β-oxidation cycle, being, respectively, the 2E-enoyl-CoA hydratase (ECH) reaction (N-terminal part, crotonase fold) and the NAD-dependent, 3S-hydroxyacyl-CoA dehydrogenase (HAD) reaction (C-terminal part, HAD fold). Structural enzymological properties of rat MFE1 (RnMFE1) as well as of two of its variants, namely the E123A variant (a glutamate of the ECH active site is mutated into alanine) and the BCDE variant (without domain A of the ECH part), were studied, using as substrate 3S-hydroxybutanoyl-CoA. Protein crystallographic binding studies show the hydrogen bond interactions of 3S-hydroxybutanoyl-CoA as well as of its 3-keto, oxidized form, acetoacetyl-CoA, with the catalytic glutamates in the ECH active site. Pre-steady state binding experiments with NAD and NADH show that the k and k rate constants of the HAD active site of monomeric RnMFE1 and the homologous human, dimeric 3S-hydroxyacyl-CoA dehydrogenase (HsHAD) for NAD and NADH are very similar, being the same as those observed for the E123A and BCDE variants. However, steady state and pre-steady state kinetic data concerning the HAD-catalyzed dehydrogenation reaction of the substrate 3S-hydroxybutanoyl-CoA show that, respectively, the k and k rate constants for conversion into acetoacetyl-CoA by RnMFE1 (and its two variants) are about 10 fold lower as when catalyzed by HsHAD. The dynamical properties of dehydrogenases are known to be important for their catalytic efficiency, and it is discussed that the greater complexity of the RnMFE1 fold correlates with the observation that RnMFE1 is a slower dehydrogenase than HsHAD.

摘要

多功能酶 1(MFE1)催化β-氧化循环的第二和第三步,分别为 2E-烯酰辅酶 A 水合酶(ECH)反应(N 端部分,克罗顿酶折叠)和 NAD 依赖性 3S-羟基酰基辅酶 A 脱氢酶(HAD)反应(C 端部分,HAD 折叠)。使用 3S-羟基丁酰辅酶 A 作为底物,研究了大鼠 MFE1(RnMFE1)及其两种变体,即 E123A 变体(ECH 活性部位的谷氨酸突变为丙氨酸)和 BCDE 变体(无 ECH 部分的域 A)的结构酶学特性。蛋白质晶体学结合研究表明,ECH 活性部位的 3S-羟基丁酰辅酶 A 及其 3-酮、氧化形式乙酰乙酰辅酶 A 与催化谷氨酸之间存在氢键相互作用。与 NAD 和 NADH 的预稳态结合实验表明,单体 RnMFE1 和同源人二聚体 3S-羟基酰基辅酶 A 脱氢酶(HsHAD)的 HAD 活性部位的 k 和 k 速率常数对于 NAD 和 NADH 非常相似,与 E123A 和 BCDE 变体观察到的相同。然而,关于底物 3S-羟基丁酰辅酶 A 的 HAD 催化脱氢反应的稳态和预稳态动力学数据表明,RnMFE1(及其两种变体)分别将其转化为乙酰乙酰辅酶 A 的 k 和 k 速率常数约低 10 倍,当由 HsHAD 催化时。脱氢酶的动力学特性对于其催化效率很重要,并且讨论了 RnMFE1 折叠的更大复杂性与观察到的 RnMFE1 是比 HsHAD 更慢的脱氢酶相关。

https://cdn.ncbi.nlm.nih.gov/pmc/blobs/dc04/10988713/96ea81d825e3/FEB4-14-655-g002.jpg

相似文献

3
Structural enzymology comparisons of multifunctional enzyme, type-1 (MFE1): the flexibility of its dehydrogenase part.
FEBS Open Bio. 2017 Nov 6;7(12):1830-1842. doi: 10.1002/2211-5463.12337. eCollection 2017 Dec.
7
9
Insights into the stability and substrate specificity of the E. coli aerobic β-oxidation trifunctional enzyme complex.
J Struct Biol. 2020 Jun 1;210(3):107494. doi: 10.1016/j.jsb.2020.107494. Epub 2020 Mar 11.

本文引用的文献

1
Enzymes of the crotonase superfamily: Diverse assembly and diverse function.
Curr Opin Struct Biol. 2023 Oct;82:102671. doi: 10.1016/j.sbi.2023.102671. Epub 2023 Aug 4.
2
Decoupling of catalysis and transition state analog binding from mutations throughout a phosphatase revealed by high-throughput enzymology.
Proc Natl Acad Sci U S A. 2023 Jul 18;120(29):e2219074120. doi: 10.1073/pnas.2219074120. Epub 2023 Jul 10.
3
Human peroxisomal NAD/NADH homeostasis is regulated by two independent NAD(H) shuttle systems.
Free Radic Biol Med. 2023 Sep;206:22-32. doi: 10.1016/j.freeradbiomed.2023.06.020. Epub 2023 Jun 22.
4
Dependence of crystallographic atomic displacement parameters on temperature (25-150 K) for complexes of horse liver alcohol dehydrogenase.
Acta Crystallogr D Struct Biol. 2022 Oct 1;78(Pt 10):1221-1234. doi: 10.1107/S2059798322008361. Epub 2022 Sep 27.
5
Radicals in Biology: Your Life Is in Their Hands.
J Am Chem Soc. 2021 Sep 1;143(34):13463-13472. doi: 10.1021/jacs.1c05952. Epub 2021 Aug 23.
6
Evolution of dynamical networks enhances catalysis in a designer enzyme.
Nat Chem. 2021 Oct;13(10):1017-1022. doi: 10.1038/s41557-021-00763-6. Epub 2021 Aug 19.
7
IceBear: an intuitive and versatile web application for research-data tracking from crystallization experiment to PDB deposition.
Acta Crystallogr D Struct Biol. 2021 Feb 1;77(Pt 2):151-163. doi: 10.1107/S2059798320015223. Epub 2021 Jan 26.
9
NAD metabolism: pathophysiologic mechanisms and therapeutic potential.
Signal Transduct Target Ther. 2020 Oct 7;5(1):227. doi: 10.1038/s41392-020-00311-7.
10
Scaling diffraction data in the DIALS software package: algorithms and new approaches for multi-crystal scaling.
Acta Crystallogr D Struct Biol. 2020 Apr 1;76(Pt 4):385-399. doi: 10.1107/S2059798320003198. Epub 2020 Mar 31.

文献AI研究员

20分钟写一篇综述,助力文献阅读效率提升50倍。

立即体验

用中文搜PubMed

大模型驱动的PubMed中文搜索引擎

马上搜索

文档翻译

学术文献翻译模型,支持多种主流文档格式。

立即体验