Suppr超能文献

以时间一致且国际可比的方式,使人们能够对英格兰和威尔士按教育程度划分的长期死亡率趋势进行检查。

Enabling the examination of long-term mortality trends by educational level for England and Wales in a time-consistent and internationally comparable manner.

机构信息

Netherlands Interdisciplinary Demographic Institute, KNAW/University of Groningen, Lange Houtstraat 19, 2511 CV, The Hague, The Netherlands.

Population Research Centre, Faculty of Spatial Sciences, University of Groningen, Groningen, The Netherlands.

出版信息

Popul Health Metr. 2024 Mar 9;22(1):4. doi: 10.1186/s12963-024-00324-2.

Abstract

BACKGROUND

Studying long-term trends in educational inequalities in health is important for monitoring and policy evaluation. Data issues regarding the allocation of people to educational groups hamper the study and international comparison of educational inequalities in mortality. For the UK, this has been acknowledged, but no satisfactory solution has been proposed.

OBJECTIVE

To enable the examination of long-term mortality trends by educational level for England and Wales (E&W) in a time-consistent and internationally comparable manner, we propose and implement an approach to deal with the data issues regarding mortality data by educational level.

METHODS

We employed 10-year follow-ups of individuals aged 20+ from the Office for National Statistics Longitudinal Study (ONS-LS), which include education information from each decennial census (1971-2011) linked to individual death records, for a 1% representative sample of the E&W population. We assigned the individual cohort data to single ages and calendar years, and subsequently obtained aggregate all-cause mortality data by education, sex, age (30+), and year (1972-2017). Our data adjustment approach optimised the available education information at the individual level, and adjusts-at the aggregate level-for trend discontinuities related to the identified data issues, and for differences with country-level mortality data for the total population.

RESULTS

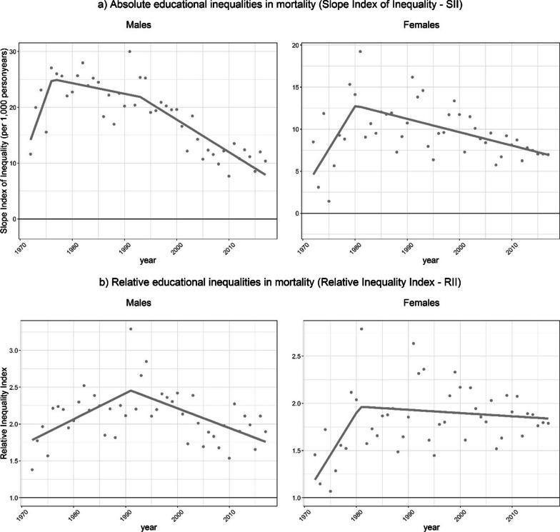
The approach resulted in (1) a time-consistent and internationally comparable categorisation of educational attainment into the low, middle, and high educated; (2) the adjustment of identified data-quality related discontinuities in the trends over time in the share of personyears and deaths by educational level, and in the crude and the age-standardised death rate by and across educational levels; (3) complete mortality data by education for ONS-LS members aged 30+ in 1972-2017 which aligns with country-level mortality data for the total population; and (4) the estimation of inequality measures using established methods. For those aged 30+ , both absolute and relative educational inequalities in mortality first increased and subsequently decreased.

CONCLUSION

We obtained additional insights into long-term trends in educational inequalities in mortality in E&W, and illustrated the potential effects of different data issues. We recommend the use of (part of) the proposed approach in other contexts.

摘要

背景

研究健康方面教育不平等的长期趋势对于监测和政策评估非常重要。在研究和比较死亡率方面的教育不平等时,有关人员在教育群体中分配的问题会妨碍数据的使用。英国已经认识到这一问题,但尚未提出令人满意的解决方案。

目的

为了能够以一致且具有国际可比性的方式,检查英格兰和威尔士(E&W)的长期教育水平与死亡率趋势,我们提出并实施了一种方法,以解决有关教育水平死亡率数据的问题。

方法

我们使用了来自国家统计局纵向研究(ONS-LS)的 20 岁以上个人的 10 年随访数据,这些数据包含了每十年一次的人口普查(1971-2011 年)的教育信息,这些信息与个人死亡记录相关联,是 E&W 人口的 1%代表性样本。我们将个体队列数据分配到单个年龄和日历年份,并随后按教育、性别、年龄(30 岁以上)和年份(1972-2017 年)获得了教育程度的全因死亡率数据。我们的数据调整方法优化了个人层面上的可用教育信息,并在汇总层面上调整了与已识别的数据问题相关的趋势不连续问题,以及与总人口的国家层面死亡率数据的差异。

结果

该方法产生了以下结果:(1)将教育程度分为低、中、高三个层次,实现了时间一致且具有国际可比性的分类;(2)调整了随时间推移,教育水平的人年和死亡人数比例、教育水平之间和教育水平之上的粗死亡率和年龄标准化死亡率的趋势中,与数据质量相关的不连续问题;(3)为 1972-2017 年年龄在 30 岁以上的 ONS-LS 成员提供了完整的教育程度死亡率数据,与总人口的国家层面死亡率数据一致;(4)使用既定方法估计不平等度量。对于年龄在 30 岁以上的人,死亡率方面的绝对和相对教育不平等最初增加,随后减少。

结论

我们对 E&W 教育不平等的死亡率长期趋势有了更多的了解,并说明了不同数据问题的潜在影响。我们建议在其他情况下使用(部分)建议的方法。

https://cdn.ncbi.nlm.nih.gov/pmc/blobs/5165/10925007/6c6a2bfa9fcf/12963_2024_324_Fig1_HTML.jpg

文献AI研究员

20分钟写一篇综述,助力文献阅读效率提升50倍。

立即体验

用中文搜PubMed

大模型驱动的PubMed中文搜索引擎

马上搜索

文档翻译

学术文献翻译模型,支持多种主流文档格式。

立即体验