Banda Louis, Ho Antonia, Kasenda Stephen, Read Jonathan M, Jewell Chris, Price Alison, McLean Estelle, Dube Albert, Chaima David, Samikwa Lyson, Nyirenda Tonney S, Hughes Ellen C, Willett Brian J, Mwale Annie Chauma, Amoah Abena S, Crampin Amelia
Malawi Epidemiology and Intervention Research Unit, Malawi.
Medical Research Council-University of Glasgow Centre for Virus Research, Glasgow, United Kingdom.
Int J Infect Dis. 2023 Dec;137:118-125. doi: 10.1016/j.ijid.2023.10.020. Epub 2023 Oct 28.
This study aimed to investigate the changing SARS-CoV-2 seroprevalence and associated health and sociodemographic factors in Malawi between February 2021 and April 2022.
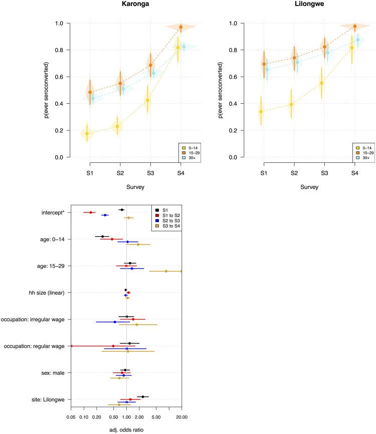
In total, four 3-monthly serosurveys were conducted within a longitudinal population-based cohort in rural Karonga District and urban Lilongwe, testing for SARS-CoV-2 S1 immunoglobulin (Ig)G antibodies using an enzyme-linked immunosorbent assay. Population seroprevalence was estimated in all and unvaccinated participants. Bayesian mixed-effects logistic models estimated the odds of seropositivity in the first survey, and of seroconversion between surveys, adjusting for age, sex, occupation, location, and assay sensitivity/specificity.
Of the 2005 participants (Karonga, n = 1005; Lilongwe, n = 1000), 55.8% were female and median age was 22.7 years. Between Surveys (SVY) 1 and 4, population-weighted SARS-CoV-2 seroprevalence increased from 26.3% to 89.2% and 46.4% to 93.9% in Karonga and Lilongwe, respectively. At SVY4, seroprevalence did not differ by COVID-19 vaccination status in adults, except for those aged 30+ years in Karonga (unvaccinated: 87.4%, 95% credible interval 79.3-93.0%; two doses: 98.1%, 94.8-99.5%). Location and age were associated with seroconversion risk. Individuals with hybrid immunity had higher SARS-CoV-2 seropositivity and antibody titers, than those infected.
High SARS-CoV-2 seroprevalence combined with low morbidity and mortality indicate that universal vaccination is unnecessary at this stage of the pandemic, supporting change in national policy to target at-risk groups.
本研究旨在调查2021年2月至2022年4月期间马拉维新冠病毒血清流行率的变化以及相关的健康和社会人口学因素。
在卡龙加农村地区和利隆圭城市的一个基于人群的纵向队列中,总共进行了四次每三个月一次的血清学调查,使用酶联免疫吸附测定法检测新冠病毒S1免疫球蛋白(Ig)G抗体。对所有参与者和未接种疫苗的参与者估计人群血清流行率。贝叶斯混合效应逻辑模型估计了第一次调查中血清阳性的几率,以及两次调查之间血清转化的几率,并对年龄、性别、职业、地点和检测灵敏度/特异性进行了调整。
在2005名参与者中(卡龙加1005人;利隆圭1000人),55.8%为女性,年龄中位数为22.7岁。在第1次和第4次调查之间,卡龙加和利隆圭的人群加权新冠病毒血清流行率分别从26.3%升至89.2%和从46.4%升至93.9%。在第4次调查时,除卡龙加30岁及以上人群外,成年人的血清流行率在新冠疫苗接种状态方面没有差异(未接种疫苗:87.4%,95%可信区间79.3 - 93.0%;两剂:98.1%,94.8 - 99.5%)。地点和年龄与血清转化风险相关。具有混合免疫力的个体比感染者具有更高的新冠病毒血清阳性率和抗体滴度。
高新冠病毒血清流行率与低发病率和死亡率表明,在大流行的现阶段无需普遍接种疫苗,这支持了国家政策转向针对高危人群的调整。