Suppr超能文献

富克斯内皮性角膜营养不良失代偿预测的断层扫描指标对比分析

Comparative Analysis of Tomographic Indicators Forecasting Decompensation in Fuchs Endothelial Corneal Dystrophy.

作者信息

Passaro Maria Laura, Airaldi Matteo, Ancona Chiara, Cucco Rosangela, Costagliola Ciro, Semeraro Francesco, Romano Vito

机构信息

Department of Neurosciences, Reproductive Sciences and Dentistry, University of Naples "Federico II", Naples, Italy.

Department of Molecular and Translational Medicine, University of Brescia, Brescia, Italy.

出版信息

Cornea. 2025 Jan 1;44(1):39-47. doi: 10.1097/ICO.0000000000003521. Epub 2024 Nov 27.

Abstract

PURPOSE

To compare the performance of 3 commercially available tomographers (the Pentacam Scheimpflug camera, the swept-source optical coherence tomography Casia, and the blue light slit-scanning tomographer Precisio) in the identification of patterns associated with Fuchs endothelial corneal dystrophy (FECD) decompensation.

METHODS

This was a clinic-based cross-sectional imaging study. Pachymetry maps and posterior surface elevation maps were acquired with the 3 devices from 61 eyes affected by FECD. The maps were graded according to the evidence of tomographic patterns predictive of FECD decompensation (loss of parallel isopachs, displacement of the thinnest point, and focal posterior depression) by 2 blind cornea specialists.

RESULTS

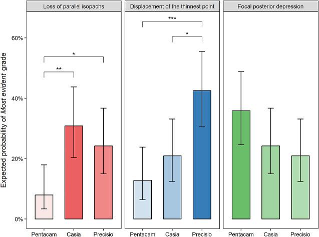
The loss of parallel isopachs was significantly less frequently evident in Pentacam pachymetry maps [8%, 95% confidence interval (CI) (3%, 18%)] compared with both the Casia [31%, 95% CI (20%, 44%), P = 0.01] and Precisio devices [24%, 95% CI (15%, 37%), P = 0.05]. The displacement of the thinnest point was graded as most evident in a significantly higher proportion of Precisio pachymetry maps [43%, 95% CI (31%, 55%)] compared with both the Pentacam [13%, 95% CI (6%, 24%), P = 0.001] and Casia devices [21%, 95% CI (12%, 33%), P = 0.03]. There were no significant differences in the identification of focal posterior depression on posterior elevation maps across the 3 devices.

CONCLUSIONS

Identification of patterns predictive of FECD prognosis on pachymetry and posterior elevation maps is possible with different devices. However, their evidence varies across tomographers, and the results from different devices are not interchangeable.

摘要

目的

比较3种市售断层扫描仪(Pentacam 眼前节分析系统、扫频源光学相干断层扫描设备Casia和蓝光裂隙扫描断层扫描仪Precisio)在识别与Fuchs内皮性角膜营养不良(FECD)失代偿相关模式方面的性能。

方法

这是一项基于临床的横断面成像研究。使用这3种设备从61只患有FECD的眼睛获取角膜厚度测量图和后表面高度图。由2名盲态的角膜专科医生根据断层扫描模式证据(平行等厚度线丧失、最薄点移位和局限性后表面凹陷)对这些图进行分级,这些证据可预测FECD失代偿情况。

结果

与Casia设备[31%,95%置信区间(CI)(20%,44%),P = 0.01]和Precisio设备[24%,95% CI(15%,37%),P = 0.05]相比,Pentacam角膜厚度测量图中平行等厚度线丧失明显较少见[8%,95% CI(3%,18%)]。与Pentacam设备[13%,95% CI(6%,24%),P = 0.001]和Casia设备[21%,95% CI(12%,33%),P = 0.03]相比,Precisio角膜厚度测量图中最薄点移位分级为最明显的比例显著更高[43%,95% CI(31%,55%)]。在3种设备的后表面高度图上,局限性后表面凹陷的识别没有显著差异。

结论

使用不同设备可以在角膜厚度测量图和后表面高度图上识别预测FECD预后的模式。然而,不同断层扫描仪显示这些证据的情况有所不同,且不同设备的结果不可互换。

https://cdn.ncbi.nlm.nih.gov/pmc/blobs/63c0/11608617/57da2cac8720/cornea-44-039-g001.jpg

文献AI研究员

20分钟写一篇综述,助力文献阅读效率提升50倍。

立即体验

用中文搜PubMed

大模型驱动的PubMed中文搜索引擎

马上搜索

文档翻译

学术文献翻译模型,支持多种主流文档格式。

立即体验