• 文献检索
  • 文档翻译
  • 深度研究
  • 学术资讯
  • Suppr Zotero 插件Zotero 插件
  • 邀请有礼
  • 套餐&价格
  • 历史记录
应用&插件
Suppr Zotero 插件Zotero 插件浏览器插件Mac 客户端Windows 客户端微信小程序
定价
高级版会员购买积分包购买API积分包
服务
文献检索文档翻译深度研究API 文档MCP 服务
关于我们
关于 Suppr公司介绍联系我们用户协议隐私条款
关注我们

Suppr 超能文献

核心技术专利:CN118964589B侵权必究
粤ICP备2023148730 号-1Suppr @ 2026

文献检索

告别复杂PubMed语法,用中文像聊天一样搜索,搜遍4000万医学文献。AI智能推荐,让科研检索更轻松。

立即免费搜索

文件翻译

保留排版,准确专业,支持PDF/Word/PPT等文件格式,支持 12+语言互译。

免费翻译文档

深度研究

AI帮你快速写综述,25分钟生成高质量综述,智能提取关键信息,辅助科研写作。

立即免费体验

硒通过Nrf2和NF-κB途径保护关节软骨细胞免受氧化损伤,从而减轻骨关节炎。

Selenium Lessens Osteoarthritis by Protecting Articular Chondrocytes from Oxidative Damage through Nrf2 and NF-κB Pathways.

作者信息

Cheng Hsiao-Ling, Yen Chia-Chi, Huang Li-Wen, Hu Yu-Chen, Huang Tzu-Ching, Hsieh Bau-Shan, Chang Kee-Lung

机构信息

Department of Pharmacy, Kaohsiung Municipal Min-Sheng Hospital, Kaohsiung 802511, Taiwan.

Department of Orthopedics, Kaohsiung Municipal Min-Sheng Hospital, Kaohsiung 802511, Taiwan.

出版信息

Int J Mol Sci. 2024 Feb 21;25(5):2511. doi: 10.3390/ijms25052511.

DOI:10.3390/ijms25052511
PMID:38473759
原文链接:https://pmc.ncbi.nlm.nih.gov/articles/PMC10931631/
Abstract

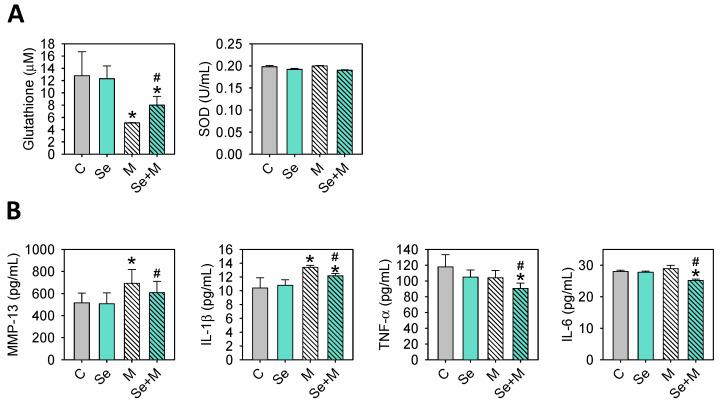
Osteoarthritis (OA) causes joint pain and disability due to the abnormal production of inflammatory cytokines and reactive oxygen species (ROS) in chondrocytes, leading to cell death and cartilage matrix destruction. Selenium (Se) intake can protect cells against oxidative damage. It is still unknown whether Se supplementation is beneficial for OA. This study investigated the effects of Se on sodium iodoacetate (MIA)-imitated OA progress in human chondrocyte cell line (SW1353 cells) and rats. The results showed that 0.3 μM of Se treatment could protect SW1353 cells from MIA-induced damage by the Nrf2 pathway by promoting the gene expression of glutathione-synthesis-related enzymes such as the glutamate-cysteine ligase catalytic subunit, the glutamate-cysteine ligase modifier subunit, and glutathione synthetase. In addition, glutathione, superoxide dismutase, glutathione peroxidase, and glutathione reductase expressions are also elevated to eliminate excessive ROS production. Moreover, Se could downregulate NF-κB, leading to a decrease in cytokines, matrix proteases, and glycosaminoglycans. In the rats, MIA-induced cartilage loss was lessened after 2 weeks of Se supplementation by oral gavage; meanwhile, glutathione synthesis was increased, and the expressions of pro-inflammatory cytokines were decreased. These results suggest that Se intake is beneficial for OA due to its effects of decreasing cartilage loss by enhancing antioxidant capacity and reducing inflammation.

摘要

骨关节炎(OA)由于软骨细胞中炎性细胞因子和活性氧(ROS)的异常产生而导致关节疼痛和功能障碍,进而导致细胞死亡和软骨基质破坏。摄入硒(Se)可以保护细胞免受氧化损伤。补充硒对OA是否有益尚不清楚。本研究调查了硒对人软骨细胞系(SW1353细胞)和大鼠中碘乙酸钠(MIA)模拟的OA进展的影响。结果表明,0.3μM的硒处理可通过促进谷胱甘肽合成相关酶如谷氨酸-半胱氨酸连接酶催化亚基、谷氨酸-半胱氨酸连接酶修饰亚基和谷胱甘肽合成酶的基因表达,通过Nrf2途径保护SW1353细胞免受MIA诱导的损伤。此外,谷胱甘肽、超氧化物歧化酶、谷胱甘肽过氧化物酶和谷胱甘肽还原酶的表达也升高,以消除过量的ROS产生。此外,硒可下调NF-κB,导致细胞因子、基质蛋白酶和糖胺聚糖减少。在大鼠中,通过口服灌胃补充硒2周后,MIA诱导的软骨损失减少;同时,谷胱甘肽合成增加,促炎细胞因子的表达降低。这些结果表明,摄入硒对OA有益,因为它具有通过增强抗氧化能力和减轻炎症来减少软骨损失的作用。

https://cdn.ncbi.nlm.nih.gov/pmc/blobs/2abb/10931631/1415f67c7fd5/ijms-25-02511-g010.jpg
https://cdn.ncbi.nlm.nih.gov/pmc/blobs/2abb/10931631/d38c734f305a/ijms-25-02511-g001.jpg
https://cdn.ncbi.nlm.nih.gov/pmc/blobs/2abb/10931631/81f9ee7d1e87/ijms-25-02511-g002.jpg
https://cdn.ncbi.nlm.nih.gov/pmc/blobs/2abb/10931631/e96962be2ec3/ijms-25-02511-g003.jpg
https://cdn.ncbi.nlm.nih.gov/pmc/blobs/2abb/10931631/467586973794/ijms-25-02511-g004.jpg
https://cdn.ncbi.nlm.nih.gov/pmc/blobs/2abb/10931631/fab51cee5995/ijms-25-02511-g005.jpg
https://cdn.ncbi.nlm.nih.gov/pmc/blobs/2abb/10931631/45d45fab8512/ijms-25-02511-g006.jpg
https://cdn.ncbi.nlm.nih.gov/pmc/blobs/2abb/10931631/4a0639b24faf/ijms-25-02511-g007.jpg
https://cdn.ncbi.nlm.nih.gov/pmc/blobs/2abb/10931631/24f3cf623e14/ijms-25-02511-g008.jpg
https://cdn.ncbi.nlm.nih.gov/pmc/blobs/2abb/10931631/e725b50fb997/ijms-25-02511-g009.jpg
https://cdn.ncbi.nlm.nih.gov/pmc/blobs/2abb/10931631/1415f67c7fd5/ijms-25-02511-g010.jpg
https://cdn.ncbi.nlm.nih.gov/pmc/blobs/2abb/10931631/d38c734f305a/ijms-25-02511-g001.jpg
https://cdn.ncbi.nlm.nih.gov/pmc/blobs/2abb/10931631/81f9ee7d1e87/ijms-25-02511-g002.jpg
https://cdn.ncbi.nlm.nih.gov/pmc/blobs/2abb/10931631/e96962be2ec3/ijms-25-02511-g003.jpg
https://cdn.ncbi.nlm.nih.gov/pmc/blobs/2abb/10931631/467586973794/ijms-25-02511-g004.jpg
https://cdn.ncbi.nlm.nih.gov/pmc/blobs/2abb/10931631/fab51cee5995/ijms-25-02511-g005.jpg
https://cdn.ncbi.nlm.nih.gov/pmc/blobs/2abb/10931631/45d45fab8512/ijms-25-02511-g006.jpg
https://cdn.ncbi.nlm.nih.gov/pmc/blobs/2abb/10931631/4a0639b24faf/ijms-25-02511-g007.jpg
https://cdn.ncbi.nlm.nih.gov/pmc/blobs/2abb/10931631/24f3cf623e14/ijms-25-02511-g008.jpg
https://cdn.ncbi.nlm.nih.gov/pmc/blobs/2abb/10931631/e725b50fb997/ijms-25-02511-g009.jpg
https://cdn.ncbi.nlm.nih.gov/pmc/blobs/2abb/10931631/1415f67c7fd5/ijms-25-02511-g010.jpg

相似文献

1
Selenium Lessens Osteoarthritis by Protecting Articular Chondrocytes from Oxidative Damage through Nrf2 and NF-κB Pathways.硒通过Nrf2和NF-κB途径保护关节软骨细胞免受氧化损伤,从而减轻骨关节炎。
Int J Mol Sci. 2024 Feb 21;25(5):2511. doi: 10.3390/ijms25052511.
2
Selenium protects against Pb-induced renal oxidative injury in weaning rats and human renal tubular epithelial cells through activating NRF2.硒通过激活核因子E2相关因子2(NRF2)来保护断奶大鼠和人肾小管上皮细胞免受铅诱导的肾氧化损伤。
J Trace Elem Med Biol. 2024 May;83:127420. doi: 10.1016/j.jtemb.2024.127420. Epub 2024 Feb 27.
3
Moderate mechanical stress suppresses chondrocyte ferroptosis in osteoarthritis by regulating NF-κB p65/GPX4 signaling pathway.适度机械应激通过调控 NF-κB p65/GPX4 信号通路抑制骨关节炎软骨细胞铁死亡。
Sci Rep. 2024 Mar 1;14(1):5078. doi: 10.1038/s41598-024-55629-x.
4
Zinc Protects Articular Chondrocytes through Changes in Nrf2-Mediated Antioxidants, Cytokines and Matrix Metalloproteinases.锌通过 Nrf2 介导的抗氧化剂、细胞因子和基质金属蛋白酶的变化来保护关节软骨细胞。
Nutrients. 2018 Apr 11;10(4):471. doi: 10.3390/nu10040471.
5
Theaflavin-3,3'-Digallate Protects Cartilage from Degradation by Modulating Inflammation and Antioxidant Pathways.茶黄素-3,3'-双没食子酸酯通过调节炎症和抗氧化途径保护软骨免受降解。
Oxid Med Cell Longev. 2022 Jul 8;2022:3047425. doi: 10.1155/2022/3047425. eCollection 2022.
6
Malvidin attenuates pain and inflammation in rats with osteoarthritis by suppressing NF-κB signaling pathway.锦葵素通过抑制 NF-κB 信号通路减轻骨关节炎大鼠的疼痛和炎症。
Inflamm Res. 2017 Dec;66(12):1075-1084. doi: 10.1007/s00011-017-1087-6. Epub 2017 Aug 29.
7
Blocking of the P2X7 receptor inhibits the activation of the MMP-13 and NF-κB pathways in the cartilage tissue of rats with osteoarthritis.阻断P2X7受体可抑制骨关节炎大鼠软骨组织中MMP-13和NF-κB信号通路的激活。
Int J Mol Med. 2016 Dec;38(6):1922-1932. doi: 10.3892/ijmm.2016.2770. Epub 2016 Oct 13.
8
Hederagenin Suppresses Inflammation and Cartilage Degradation to Ameliorate the Progression of Osteoarthritis: An In vivo and In vitro Study.常春藤皂苷元通过抑制炎症和软骨降解改善骨关节炎进展:一项体内和体外研究
Inflammation. 2023 Apr;46(2):655-678. doi: 10.1007/s10753-022-01763-5. Epub 2022 Nov 8.
9
Wogonin, a plant derived small molecule, exerts potent anti-inflammatory and chondroprotective effects through the activation of ROS/ERK/Nrf2 signaling pathways in human Osteoarthritis chondrocytes.汉黄芩素,一种源自植物的小分子,通过激活人骨关节炎软骨细胞中的ROS/ERK/Nrf2信号通路发挥强大的抗炎和软骨保护作用。
Free Radic Biol Med. 2017 May;106:288-301. doi: 10.1016/j.freeradbiomed.2017.02.041. Epub 2017 Feb 22.
10
NOX1-mediated oxidative stress induces chondrocyte ferroptosis by inhibiting the Nrf2/HO-1 pathway.NOX1 介导线粒体氧化应激通过抑制 Nrf2/HO-1 通路诱导软骨细胞铁死亡。
Sci Rep. 2024 Aug 27;14(1):19877. doi: 10.1038/s41598-024-70991-6.

引用本文的文献

1
Trace Elements-Role in Joint Function and Impact on Joint Diseases.微量元素在关节功能中的作用及其对关节疾病的影响。
Int J Mol Sci. 2025 Aug 2;26(15):7493. doi: 10.3390/ijms26157493.
2
Guarana, Selenium, and L-Carnitine Supplementation Improves the Oxidative Profile but Fails to Reduce Tissue Damage in Rats with Osteoarthritis.补充瓜拉那、硒和左旋肉碱可改善氧化状态,但无法减轻骨关节炎大鼠的组织损伤。
Antioxidants (Basel). 2025 Jul 18;14(7):881. doi: 10.3390/antiox14070881.
3
Elemental Influence: The Emerging Role of Zinc, Copper, and Selenium in Osteoarthritis.

本文引用的文献

1
An accurate, reliable, and universal qPCR method to identify homozygous single insert T-DNA with the example of transgenic rice.一种以转基因水稻为例,用于鉴定纯合单插入T-DNA的准确、可靠且通用的定量聚合酶链反应方法。
Front Plant Sci. 2023 Oct 10;14:1221790. doi: 10.3389/fpls.2023.1221790. eCollection 2023.
2
Selenium Ameliorates Acetaminophen-Induced Oxidative Stress via MAPK and Nrf2 Pathways in Mice.硒通过 MAPK 和 Nrf2 通路减轻小鼠对乙酰氨基酚诱导的氧化应激。
Biol Trace Elem Res. 2024 Jun;202(6):2598-2615. doi: 10.1007/s12011-023-03845-3. Epub 2023 Sep 13.
3
Nrf2 and Oxidative Stress: A General Overview of Mechanisms and Implications in Human Disease.
元素的影响:锌、铜和硒在骨关节炎中的新作用
Nutrients. 2025 Jun 21;17(13):2069. doi: 10.3390/nu17132069.
4
Circulating Essential Trace Element and Mineral Levels in Female Patients with Knee or Concomitant Knee and Hip Osteoarthritis.膝关节或合并膝关节和髋关节骨关节炎女性患者的循环必需微量元素和矿物质水平
Biol Trace Elem Res. 2025 Jun 9. doi: 10.1007/s12011-025-04696-w.
5
The relationship between the composite dietary antioxidant index and rheumatoid arthritis risk in American adults: the mediating role of BMI.美国成年人复合膳食抗氧化指数与类风湿关节炎风险之间的关系:BMI的中介作用。
Front Immunol. 2025 Apr 9;16:1560570. doi: 10.3389/fimmu.2025.1560570. eCollection 2025.
6
Heat-Killed subsp. 557 Extracts Protect Chondrocytes from Osteoarthritis Damage by Reducing Inflammation: An In Vitro Study.热灭活亚种557提取物通过减轻炎症保护软骨细胞免受骨关节炎损伤:一项体外研究
Nutrients. 2024 Dec 23;16(24):4417. doi: 10.3390/nu16244417.
7
Novel insights into the role of metabolic disorder in osteoarthritis.关于代谢紊乱在骨关节炎中作用的新见解。
Front Endocrinol (Lausanne). 2024 Dec 18;15:1488481. doi: 10.3389/fendo.2024.1488481. eCollection 2024.
8
WTAP mediates IL-1β-induced chondrocyte injury by enhancing CA12 mRNA stability depending on m6A modification.WTAP通过依赖m6A修饰增强CA12 mRNA稳定性来介导白细胞介素-1β诱导的软骨细胞损伤。
J Orthop Surg Res. 2024 Dec 5;19(1):826. doi: 10.1186/s13018-024-05262-1.
9
E3 ubiquitin ligases: key regulators of osteogenesis and potential therapeutic targets for bone disorders.E3泛素连接酶:成骨作用的关键调节因子及骨疾病的潜在治疗靶点。
Front Cell Dev Biol. 2024 Aug 15;12:1447093. doi: 10.3389/fcell.2024.1447093. eCollection 2024.
Nrf2与氧化应激:机制概述及其在人类疾病中的意义
Antioxidants (Basel). 2022 Nov 27;11(12):2345. doi: 10.3390/antiox11122345.
4
Activation of Nrf2 by Esculetin Mitigates Inflammatory Responses through Suppression of NF-κB Signaling Cascade in RAW 264.7 Cells.秦皮素通过抑制 RAW 264.7 细胞中 NF-κB 信号级联反应激活 Nrf2 减轻炎症反应。
Molecules. 2022 Aug 12;27(16):5143. doi: 10.3390/molecules27165143.
5
The Extracellular Matrix of Articular Cartilage Controls the Bioavailability of Pericellular Matrix-Bound Growth Factors to Drive Tissue Homeostasis and Repair.关节软骨细胞外基质控制细胞周基质结合生长因子的生物利用度,以驱动组织内稳态和修复。
Int J Mol Sci. 2022 May 26;23(11):6003. doi: 10.3390/ijms23116003.
6
Dissecting the Crosstalk Between Nrf2 and NF-κB Response Pathways in Drug-Induced Toxicity.剖析药物诱导毒性中Nrf2和NF-κB反应途径之间的相互作用
Front Cell Dev Biol. 2022 Feb 2;9:809952. doi: 10.3389/fcell.2021.809952. eCollection 2021.
7
Epidemiology of osteoarthritis.骨关节炎的流行病学。
Osteoarthritis Cartilage. 2022 Feb;30(2):184-195. doi: 10.1016/j.joca.2021.04.020. Epub 2021 Sep 14.
8
Cytokines and Chemokines Involved in Osteoarthritis Pathogenesis.参与骨关节炎发病机制的细胞因子和趋化因子。
Int J Mol Sci. 2021 Aug 26;22(17):9208. doi: 10.3390/ijms22179208.
9
S-Equol Protects Chondrocytes against Sodium Nitroprusside-Caused Matrix Loss and Apoptosis through Activating PIK/Akt Pathway.S-雌马酚通过激活PI3K/Akt信号通路保护软骨细胞免受硝普钠引起的基质丢失和细胞凋亡。
Int J Mol Sci. 2021 Jun 30;22(13):7054. doi: 10.3390/ijms22137054.
10
An Overview of Nrf2 Signaling Pathway and Its Role in Inflammation.Nrf2 信号通路概述及其在炎症中的作用。
Molecules. 2020 Nov 23;25(22):5474. doi: 10.3390/molecules25225474.