Suppr超能文献

二氧化钛纳米粒子的简易声化学辅助生物工程及其在治疗乳腺癌和肺癌中的潜力解读:基于生物学、分子学和计算的研究

Facile sonochemically-assisted bioengineering of titanium dioxide nanoparticles and deciphering their potential in treating breast and lung cancers: biological, molecular, and computational-based investigations.

作者信息

Sedky Nada K, Mahdy Noha Khalil, Abdel-Kader Nour M, Abdelhady Manal M M, Maged Mohamad, Allam Aya L, Alfaifi Mohammad Y, Shamma Samir N, Hassan Hatem A F M, Fahmy Sherif Ashraf

机构信息

Department of Biochemistry, School of Life and Medical Sciences, University of Hertfordshire Hosted by Global Academic Foundation R5 New Garden City, New Administrative Capital Cairo 11835 Egypt.

Department of Pharmaceutics and Industrial Pharmacy, Faculty of Pharmacy, Cairo University Kasr El-Aini Street Cairo 11562 Egypt.

出版信息

RSC Adv. 2024 Mar 14;14(12):8583-8601. doi: 10.1039/d3ra08908h. eCollection 2024 Mar 6.

Abstract

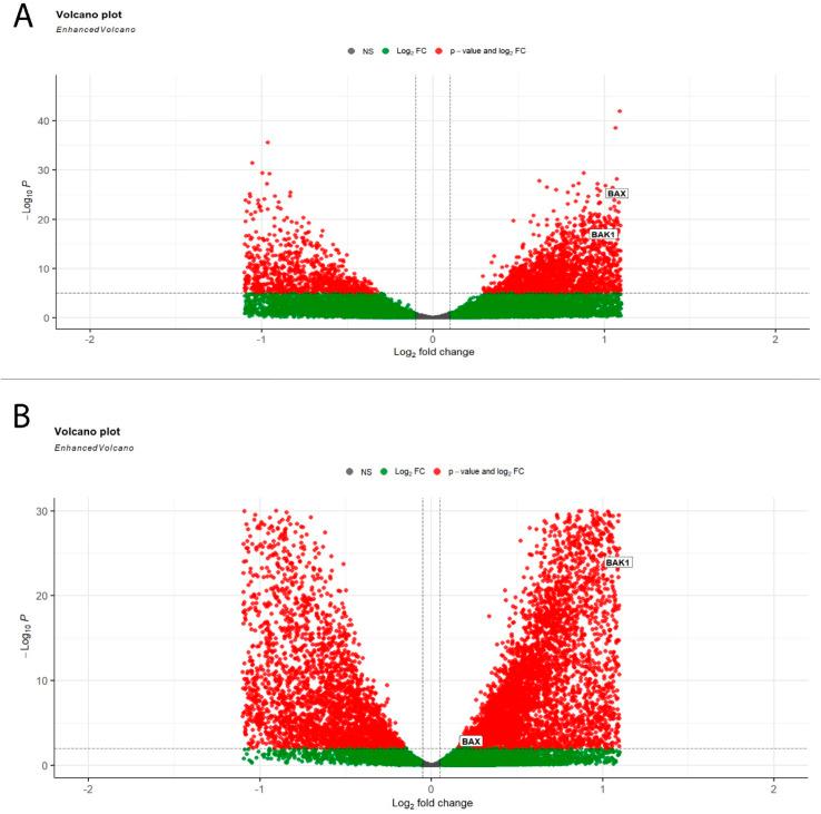
Combining sonochemistry with phytochemistry is a modern trend in the biosynthesis of metallic nanoparticles (NPs), which contributes to the sustainability of chemical processes and minimizes hazardous effects. Herein, titanium dioxide (TiO) NPs were bioengineered using a novel and facile ultrasound-assisted approach utilizing the greenly extracted essential oil of . FTIR and UV-Vis spectrophotometry were used to confirm the formation of TiO NPs. The X-ray diffraction (XRD) analysis showed the crystalline nature of TiO NPs. TEM analysis revealed the spherical morphology of the NPs with sizes ranging from 5.55 to 13.89 nm. Energy-dispersive X-ray (EDX) confirmed the purity of the greenly synthesized NPs. TiO NPs demonstrated outstanding antitumor activity against breast (MCF-7) and lung (A-549) cancer cells with estimated IC values of 1.73 and 4.79 μg mL. The TiO NPs were cytocompatible to normal cells (MCF-10A) with a selectivity index (SI) of 8.77 for breast and 3.17 for lung cancer. Biological assays revealed a promising potential for TiO NPs to induce apoptosis and arrest cells at the sub-G1 phase of the cell cycle phase in both cancer cell lines. Molecular investigations showed the ability of TiO NPs to increase apoptotic genes' expression (Bak and Bax) and their profound ability to elevate the expression of apoptotic proteins (caspases 3 and 7). Molecular docking demonstrated strong binding interactions for TiO NPs with caspase 3 and EGFR-TK targets. In conclusion, the greenly synthesized TiO NPs exhibited potent antitumor activity and mitochondrion-based cell death against breast and lung cancer cell lines while maintaining cytocompatibility against normal cells.

摘要

将声化学与植物化学相结合是金属纳米颗粒(NPs)生物合成的现代趋势,这有助于化学过程的可持续性并将有害影响降至最低。在此,使用一种新颖且简便的超声辅助方法,利用绿色提取的精油对二氧化钛(TiO)纳米颗粒进行了生物工程制备。采用傅里叶变换红外光谱(FTIR)和紫外可见分光光度法确认了TiO纳米颗粒的形成。X射线衍射(XRD)分析表明TiO纳米颗粒具有晶体性质。透射电子显微镜(TEM)分析揭示了纳米颗粒的球形形态,尺寸范围为5.55至13.89纳米。能量色散X射线(EDX)证实了绿色合成纳米颗粒的纯度。TiO纳米颗粒对乳腺癌(MCF-7)和肺癌(A-549)细胞表现出出色的抗肿瘤活性,估计半数抑制浓度(IC)值分别为1.73和4.79μg/mL。TiO纳米颗粒对正常细胞(MCF-10A)具有细胞相容性,对乳腺癌的选择性指数(SI)为8.77,对肺癌为3.17。生物学测定表明,TiO纳米颗粒在两种癌细胞系中均具有诱导细胞凋亡并使细胞停滞在细胞周期亚G1期的潜力。分子研究表明,TiO纳米颗粒能够增加凋亡基因(Bak和Bax)的表达,并具有显著提高凋亡蛋白(半胱天冬酶3和7)表达的能力。分子对接表明TiO纳米颗粒与半胱天冬酶3和表皮生长因子受体酪氨酸激酶(EGFR-TK)靶点具有强结合相互作用。总之,绿色合成的TiO纳米颗粒对乳腺癌和肺癌细胞系表现出强大的抗肿瘤活性和基于线粒体的细胞死亡,同时对正常细胞保持细胞相容性。

https://cdn.ncbi.nlm.nih.gov/pmc/blobs/d1a0/10938292/236ef6d22f4a/d3ra08908h-f1.jpg

文献AI研究员

20分钟写一篇综述,助力文献阅读效率提升50倍。

立即体验

用中文搜PubMed

大模型驱动的PubMed中文搜索引擎

马上搜索

文档翻译

学术文献翻译模型,支持多种主流文档格式。

立即体验