Suppr超能文献

中国医疗体系中经济补偿的经济效应:关于供需因素的全面见解。

The economic effect of financial compensation in China's healthcare system: comprehensive insights regarding supply and demand factors.

作者信息

Guo Yi, Hong Xuezhi, Li Dongmei, An Qiannan, Fan Wenwen, Yang Minghe, Xiao Luyang

机构信息

Beijing University of Chinese Medicine, No. 11 North Third Ring East Road, Beijing, China.

出版信息

Health Econ Rev. 2024 Mar 16;14(1):21. doi: 10.1186/s13561-024-00496-5.

Abstract

OBJECTIVES

We aim to analyse the effects of government subsidies on residents' health and healthcare expenditure from the perspectives of supply and demand.

DATA AND METHODS

According to the regional division adopted in the data query system of the National Bureau of Statistics, this study divides 31 provinces and cities into three regions: eastern, central, and western. The data used are from public databases, such as the "China Statistical Yearbook," "China Health Statistical Yearbook," and "Government Final Account Report". In this study, mathematical model derivation is used to construct a fixed effects model, and an empirical study based on cross-sectional data and general linear regression is conducted. To prevent endogeneity issues, this study introduces instrumental variables and uses 2SLS regression to further analyse the output results.

RESULTS

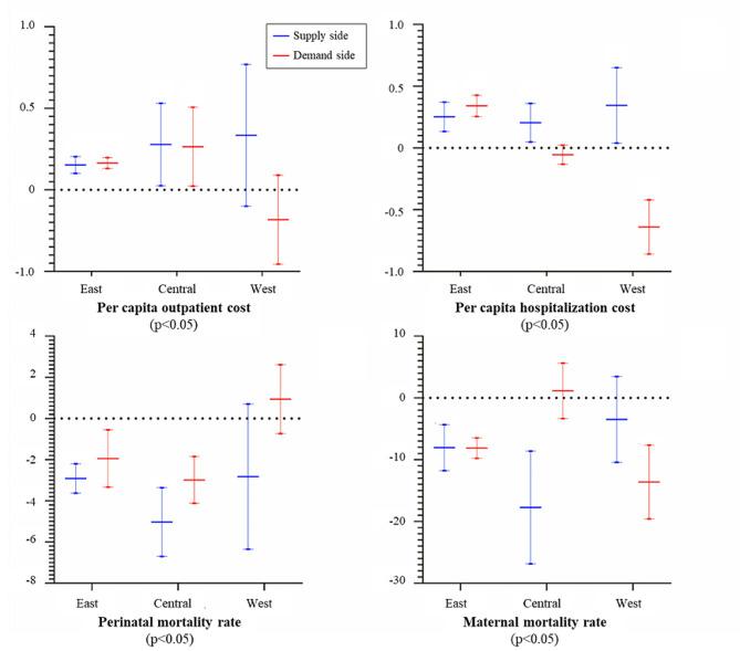
For every 1% increase in supplementary funding on the supply side, the perinatal mortality rate decreases by 1.765%, while for every 1% increase in financial compensation on the demand side, per capita outpatient expenses increase by 0.225% and per capita hospitalization expenses increase by 0.196%. Regarding medical resources, for every 1% increase in the number of beds per 1,000 people, per capita hospitalization expenses decrease by 0.099%. In the central and eastern regions, where economic levels are higher, supply-side government funding is more effective than demand-side funding. In contrast, demand-side funding is more effective in the western region.

CONCLUSIONS

The roles of multiple influencing factors and significant regional heterogeneity are clarified. Increasing financial compensation to providers positively impacts perinatal mortality but leads to higher per capita outpatient and hospital expenditures. Finally, this study provides targeted policy recommendations and solid theoretical support for policymakers.

摘要

目的

我们旨在从供需角度分析政府补贴对居民健康和医疗保健支出的影响。

数据与方法

根据国家统计局数据查询系统采用的区域划分,本研究将31个省和直辖市分为三个区域:东部、中部和西部。所使用的数据来自公共数据库,如《中国统计年鉴》《中国卫生统计年鉴》和《政府决算报告》。在本研究中,使用数学模型推导构建固定效应模型,并基于横截面数据和一般线性回归进行实证研究。为防止内生性问题,本研究引入工具变量并使用两阶段最小二乘法回归进一步分析输出结果。

结果

供给侧补充资金每增加1%,围产儿死亡率下降1.765%,而需求侧财政补偿每增加1%,人均门诊费用增加0.225%,人均住院费用增加0.196%。关于医疗资源,每千人口床位数每增加1%,人均住院费用下降0.099%。在经济水平较高的中部和东部地区,供给侧政府资金比需求侧资金更有效。相比之下,需求侧资金在西部地区更有效。

结论

明确了多种影响因素的作用以及显著的区域异质性。增加对提供者的财政补偿对围产儿死亡率有积极影响,但会导致人均门诊和住院支出增加。最后,本研究为政策制定者提供了有针对性的政策建议和坚实的理论支持。

https://cdn.ncbi.nlm.nih.gov/pmc/blobs/a721/10943810/af9e130044d0/13561_2024_496_Fig1_HTML.jpg

文献AI研究员

20分钟写一篇综述,助力文献阅读效率提升50倍。

立即体验

用中文搜PubMed

大模型驱动的PubMed中文搜索引擎

马上搜索

文档翻译

学术文献翻译模型,支持多种主流文档格式。

立即体验