Suppr超能文献

人工林中,氮素获取策略随树龄变化,这取决于根系功能性状和土壤性质。

Nitrogen acquisition strategy shifts with tree age depending on root functional traits and soil properties in plantations.

作者信息

Liu Qianyuan, Chen Yaxuan, Chen Yanmei

机构信息

Hebei Key Laboratory of Environmental Change and Ecological Construction, School of Geographical Sciences, Hebei Normal University, Shijiazhuang, China.

Geography Postdoctoral Research Station at Hebei Normal University, Shijiazhuang, China.

出版信息

Front Plant Sci. 2024 Mar 12;15:1358367. doi: 10.3389/fpls.2024.1358367. eCollection 2024.

Abstract

INTRODUCTION

Variation in plant nitrogen uptake rate and substrate preference is complicated due to the combined influence of abiotic and biotic factors. For the same species of tree across different ages, the interactions between root structural traits, nitrogen uptake rate, and soil environment have not been fully characterized, a situation that constrains our understanding of underground resource strategies employed by trees at different ages.

METHODS

In the present study, we examined the nitrogen uptake rate, mycorrhiza, morphology, architecture, and chemistry of the roots of in a chronosequence (aged 18, 27, 37, 46, and 57 years) in the Saihanba Mechanical Forest Farm in Northern China.

RESULTS

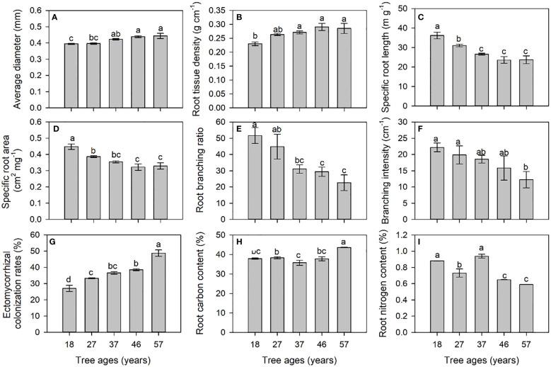
preferred to absorb ammonium, followed in order by glycine and nitrate. The ammonium uptake rate of significantly decreased (aged 18-37 years) and then increased (aged 46-57 years) with tree age. The glycine, nitrate, and total nitrogen uptake rates decreased with tree age. The root resource acquisition strategy appeared to shift from an acquisitive strategy to a conservative strategy associated with increasing tree age.

DISCUSSION

Along the root-mycorrhizal collaboration gradient, the younger relied more on their own root morphology and physiology to acquire resources, adopting a "do it yourself" strategy comprising increasing the specific root length, the specific root area, and the N uptake rate (nitrate and glycine). Conversely, older trees depended more on mycorrhizal partners to acquire nitrogen resources, an "outsourcing" strategy. The results contribute to our understanding of underground resource-use strategies of plants and the nitrogen cycle in forest ecosystems according to stand age.

摘要

引言

由于非生物和生物因素的综合影响,植物氮素吸收速率和底物偏好的变化较为复杂。对于不同年龄的同一树种,根系结构特征、氮素吸收速率与土壤环境之间的相互作用尚未得到充分表征,这种情况限制了我们对不同年龄树木所采用的地下资源策略的理解。

方法

在本研究中,我们在中国北方塞罕坝机械林场的一个时间序列(年龄分别为18、27、37、46和57年)中,研究了[具体树种]根系的氮素吸收速率、菌根、形态、结构和化学性质。

结果

[具体树种]优先吸收铵态氮,其次是甘氨酸和硝态氮。[具体树种]的铵态氮吸收速率随树龄显著下降(18 - 37年),然后上升(46 - 57年)。甘氨酸、硝态氮和总氮吸收速率随树龄下降。根系资源获取策略似乎随着树龄增加从获取型策略转变为保守型策略。

讨论

沿着根 - 菌根协作梯度,较年轻 的[具体树种]更多地依靠自身根系形态和生理来获取资源,采用一种“自己动手”策略,包括增加比根长、比根面积和氮吸收速率(硝态氮和甘氨酸)。相反,老龄树木更多地依赖菌根伙伴来获取氮资源,这是一种“外包”策略。这些结果有助于我们根据林分年龄理解植物的地下资源利用策略和森林生态系统中的氮循环。

https://cdn.ncbi.nlm.nih.gov/pmc/blobs/6392/10964345/7654cd31f101/fpls-15-1358367-g001.jpg

文献检索

告别复杂PubMed语法,用中文像聊天一样搜索,搜遍4000万医学文献。AI智能推荐,让科研检索更轻松。

立即免费搜索

文件翻译

保留排版,准确专业,支持PDF/Word/PPT等文件格式,支持 12+语言互译。

免费翻译文档

深度研究

AI帮你快速写综述,25分钟生成高质量综述,智能提取关键信息,辅助科研写作。

立即免费体验