Suppr超能文献

塞利尼索在伴有17p缺失及其他高危异常的复发/难治性多发性骨髓瘤(RRMM)患者中的疗效(一项回顾性单中心研究)

Efficacy of Selinexor in Relapsed/Refractory Multiple Myeloma (RRMM) Patients with del17p and Other High-Risk Abnormalities (A Retrospective Single-Center Study).

作者信息

Ehsan Hamid, Robinson Myra, Voorhees Peter M, Cassetta Kristen, Borden Shanice, Atrash Shebli, Bhutani Manisha, Varga Cindy, Pineda-Roman Mauricio, Friend Reed, Paul Barry A

机构信息

Levine Cancer Institute, Atrium Health Wake Forest Baptist, 4525 Cameron Valley Pkwy Suite 3500, Charlotte, NC 28211, USA.

Department of Biostatistics and Data Sciences, Levine Cancer Institute, Atrium Health Wake Forest University School of Medicine, Charlotte, NC 28204, USA.

出版信息

Life (Basel). 2024 Mar 14;14(3):384. doi: 10.3390/life14030384.

Abstract

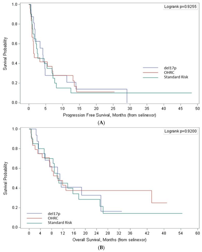
Selinexor (Seli) is a first-in-class, oral selective inhibitor of the nuclear export protein, exportin-1 (XPO1). Seli exhibits its antitumor effect through the blockage of XPO1, which increases nuclear retention of tumor suppressor proteins (TSPs), including p53, thereby limiting the translation of oncogenes, triggering cell cycle arrest and the death of malignant cells. Multiple Myeloma (MM) patients with del17p are deficient in TP53 and have a particularly poor prognosis. Given its unique mechanism of action, we investigated whether Seli has increased efficacy in RRMM patients with del17p compared to other high-risk cytogenetics (OHRC). This is an IRB-approved observational study of RRMM patients with high-risk cytogenetics (del17p, t (4;14), t (14;16) or gain 1q) or standard-risk cytogenetics treated at the Levine Cancer Institute (LCI) with a Seli-based regimen between January 2019 and December 2022. Time-to-event endpoints (PFS, OS) were evaluated using Kaplan-Meier (KM) methods. Log-rank tests compared time-to-event endpoints between cohorts [del17p vs. OHRC vs. standard risk]. We identified 40 RRMM patients with high-risk cytogenetics, including 16 patients with del17p and 24 patients with OHRC, as well as 20 with standard-risk cytogenetics. The median age was 62.5 vs. 69 vs. 65.5 years (del17p group vs. OHRC vs. standard risk). The median prior line of therapies was five (range: 3-16) with similar rates of prior autologous stem cell transplant in all arms (68.8% vs. 62.5% vs. 70.0%). The most frequently used regimens were Seli-Pomalidomide-dexamethasone(dex) or Seli-Carfilzomib-dex (Seli-Kd) in the del17p group and Seli-Kd in the OHRC and standard-risk groups. The median time to start the Seli-based regimen after initial MM diagnosis was 5.6 years for the del17p group, 4.1 years in OHRC, and 4.8 years in the standard-risk group. The median follow-up time after the start of the Seli-based regimen was 10.5 months (mos) in the del17p group, 8.4 mos in OHRC, and 10.3 mos in the standard-risk group. In the del17p group, 50% had an objective response, 41.7% in the OHRC, and 35% in the standard-risk group ( = 0.71). Depth of response was also similar across the arms (12.5% vs. 12.5% vs. 10.0% VGPR = 0.99). The median OS was 10.9 mos in the del17p group, 10.3 mos in the OHRC, and 10.3 mos in the standard-risk group ( = 0.92). The median OS was 15.5 mos for patients who received Seli as a bridging therapy versus 9 mos for Seli use for other reasons rather than as a bridge. Overall, Seli-based regimens showed promising responses even in this heavily pretreated population. Our analysis suggests that Seli-based regimens lead to similar outcomes among RRMM patients with del17p, OHRC, and standard-risk cytogenetics. This contrasts with previously reported outcomes using combinations of novel therapies in this population, where the del17p patients often have a poorer prognosis. Interestingly, our data suggest that Seli is a particularly effective bridging modality for patients preparing for CAR-T cell therapies in our population. Further investigation into this population is warranted, including in earlier lines of therapy, in hopes of seeing a more durable response.

摘要

塞利尼索(Seli)是一种一流的口服选择性核输出蛋白exportin-1(XPO1)抑制剂。Seli通过阻断XPO1发挥其抗肿瘤作用,这会增加包括p53在内的肿瘤抑制蛋白(TSPs)的核内保留,从而限制癌基因的翻译,触发细胞周期停滞和恶性细胞死亡。伴有17p缺失的多发性骨髓瘤(MM)患者TP53缺乏,预后特别差。鉴于其独特的作用机制,我们研究了与其他高危细胞遗传学(OHRC)相比,Seli在伴有17p缺失的复发/难治性MM(RRMM)患者中是否具有更高的疗效。这是一项经机构审查委员会(IRB)批准的对RRMM患者的观察性研究,这些患者具有高危细胞遗传学特征(17p缺失、t(4;14)、t(14;16)或1q增益)或标准风险细胞遗传学特征,于2019年1月至2022年12月在莱文癌症研究所(LCI)接受基于Seli的治疗方案。使用Kaplan-Meier(KM)方法评估事件发生时间终点(无进展生存期、总生存期)。对数秩检验比较了各队列之间的事件发生时间终点[17p缺失组与OHRC组与标准风险组]。我们确定了40例具有高危细胞遗传学特征的RRMM患者,包括16例17p缺失患者和24例OHRC患者,以及20例具有标准风险细胞遗传学特征的患者。中位年龄分别为62.5岁、69岁和65.5岁(17p缺失组与OHRC组与标准风险组)。既往治疗的中位疗程为5个疗程(范围:3 - 16个疗程),所有组中既往自体干细胞移植的比例相似(68.8% vs. 62.5% vs. 70.0%)。17p缺失组最常用的治疗方案是Seli-泊马度胺-地塞米松(dex)或Seli-卡非佐米-地塞米松(Seli-Kd),OHRC组和标准风险组最常用的是Seli-Kd。17p缺失组在初次MM诊断后开始基于Seli的治疗方案的中位时间为5.6年,OHRC组为4.1年,标准风险组为4.8年。开始基于Seli的治疗方案后的中位随访时间,17p缺失组为10.5个月(mos),OHRC组为8.4 mos,标准风险组为10.3 mos。在17p缺失组中,50%有客观缓解,OHRC组为41.7%,标准风险组为35%(P = 0.71)。各治疗组的缓解深度也相似(12.5% vs. 12.5% vs. 10.0%的非常好的部分缓解,P = 0.99)。17p缺失组的中位总生存期为10.9 mos,OHRC组为10.3 mos,标准风险组为10.3 mos(P = 0.92)。接受Seli作为桥接治疗的患者中位总生存期为15.5 mos,而因其他原因而非作为桥接使用Seli的患者为9 mos。总体而言,即使在这个经过大量预处理的人群中,基于Seli的治疗方案也显示出有前景的反应。我们的分析表明,基于Seli的治疗方案在伴有17p缺失、OHRC和标准风险细胞遗传学特征的RRMM患者中产生相似的结果。这与此前报道的在该人群中使用新型疗法联合治疗的结果形成对比,在那些研究中17p缺失的患者通常预后较差。有趣的是,我们的数据表明,在我们的人群中,Seli对于准备接受嵌合抗原受体T细胞(CAR-T)治疗的患者是一种特别有效的桥接方式。有必要对该人群进行进一步研究,包括在更早的治疗阶段,以期看到更持久的反应。

https://cdn.ncbi.nlm.nih.gov/pmc/blobs/e585/10971938/1d425f260009/life-14-00384-g001.jpg

文献AI研究员

20分钟写一篇综述,助力文献阅读效率提升50倍。

立即体验

用中文搜PubMed

大模型驱动的PubMed中文搜索引擎

马上搜索

文档翻译

学术文献翻译模型,支持多种主流文档格式。

立即体验