Suppr超能文献

在挥发性有机化合物减排中具有增强催化性能的螺旋β沸石合成研究洞察

Insights into the Synthesis of Spiral Beta Zeolite with Enhanced Catalytic Performance in VOC Abatement.

作者信息

Bian Chaoqun, Luo Xiaohui, Chen Xiao

机构信息

Pharmaceutical and Material Engineering School, Jinhua Polytechnic, Jinhua 321000, China.

出版信息

Molecules. 2024 Mar 20;29(6):1386. doi: 10.3390/molecules29061386.

Abstract

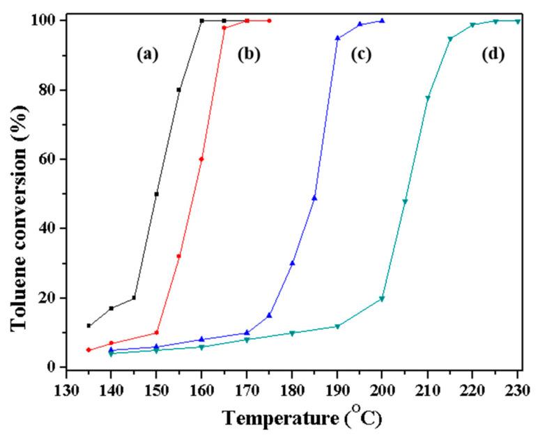
The rational synthesis of zeolites with designed morphology is a highly challenging task. In this study, we propose 1,5-bis(methylpiperidine)pentylammonium hydroxide (BMPPAOH) as an organic structure-directing agent (OSDA) based on theoretical calculations. The morphology of zeolite samples is characterized by XRD, SEM, TEM, N sorption isotherms, and UV Raman spectroscopy. This simple bis-quaternary ammonium salt favored the formation of spiral morphology in Beta zeolite spheres (S-Beta). The crystallization of zeolite in the presence of BMMPAOH is a two-stage process, where nanoparticles agglomerate into spheres in the early stages followed by the emergence of S-Beta crystals with spiral morphology. The synthesized Pt-S-Beta catalysts show higher catalytic activity in VOC abatement compared with other Pt-Beta samples.

摘要

合理合成具有特定形貌的沸石是一项极具挑战性的任务。在本研究中,基于理论计算,我们提出将1,5-双(甲基哌啶)戊基氢氧化铵(BMPPAOH)作为有机结构导向剂(OSDA)。通过XRD、SEM、TEM、N吸附等温线和紫外拉曼光谱对沸石样品的形貌进行了表征。这种简单的双季铵盐有利于在β沸石球(S-β)中形成螺旋形貌。在BMMPAOH存在下沸石的结晶是一个两阶段过程,其中纳米颗粒在早期聚集成球,随后出现具有螺旋形貌的S-β晶体。与其他Pt-β样品相比,合成的Pt-S-β催化剂在挥发性有机化合物减排方面表现出更高的催化活性。

https://cdn.ncbi.nlm.nih.gov/pmc/blobs/aca9/10974148/0ef1f95e0ec4/molecules-29-01386-g001.jpg

文献AI研究员

20分钟写一篇综述,助力文献阅读效率提升50倍。

立即体验

用中文搜PubMed

大模型驱动的PubMed中文搜索引擎

马上搜索

文档翻译

学术文献翻译模型,支持多种主流文档格式。

立即体验