Suppr超能文献

超氧化物歧化酶:预测 2 型糖尿病合并急性冠脉综合征患者左心室射血分数降低的标志物。

Superoxide dismutases: marker in predicting reduced left ventricular ejection fraction in patients with type 2 diabetes and acute coronary syndrome.

机构信息

Department of Endocrinology, Shandong Provincial Hospital Affiliated to Shandong First Medical University, Jinan, Shandong, 250021, China.

International Medical Service Department, Shandong Provincial Hospital Affiliated to Shandong First Medical University, Jinan, Shandong, 250021, China.

出版信息

BMC Cardiovasc Disord. 2024 Apr 3;24(1):191. doi: 10.1186/s12872-024-03867-2.

Abstract

AIM

To examine the prognostic value of superoxide dismutase (SOD) activity for monitoring reduced left ventricular ejection fraction(LVEF)in the patients with type 2 diabetes and acute coronary syndrome (ACS).

METHODS

The population of this cross-sectional study included 2377 inpatients with type 2 diabetes who had an ACS admitted to the Shandong Provincial Hospital Affiliated to Shandong First Medical University from January 2016 to January 2021.

RESULTS

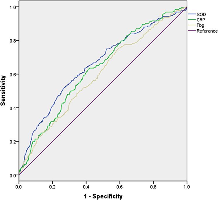
Diabetic patients with ACS were divided into 2 subgroups based on LVEF. The mean SOD activity was significantly lower in patients with an LVEF ≤ 45% than in those with an LVEF > 45% (149.1 (146.4, 151.9) versus 161.9 (160.8, 163.0)). Using ROC statistic, a cut-off value of 148.8 U/ml indicated an LVEF ≤ 45% with a sensitivity of 51.6% and a specificity of 73.7%. SODs activity were found to be correlated with the levels of NT-proBNP, hs-cTnT, the inflammatory marker CRP and fibrinogen. Despite taking the lowest quartile as a reference (OR 0.368, 95% CI 0.493-0.825, P = 0.001) or examining 1 normalized unit increase (OR 0.651, 95% CI 0.482-0.880, P = 0.005), SOD activity was found to be a stronger predictor of reduced LVEF than CRP and fibrinogen, independent of confounding factors.

CONCLUSIONS

Our cross-sectional study suggests that SOD activity might be a valuable and easily accessible tool for assessing and monitoring reduced LVEF in the diabetic patients with ACS.

摘要

目的

探讨超氧化物歧化酶(SOD)活性对监测 2 型糖尿病合并急性冠状动脉综合征(ACS)患者左心室射血分数(LVEF)降低的预后价值。

方法

本横断面研究的研究人群包括 2016 年 1 月至 2021 年 1 月期间因 ACS 入住山东第一医科大学附属省立医院的 2377 例 2 型糖尿病住院患者。

结果

根据 LVEF 将 ACS 合并糖尿病患者分为 2 亚组。LVEF≤45%的患者 SOD 活性明显低于 LVEF>45%的患者(149.1(146.4,151.9)与 161.9(160.8,163.0))。使用 ROC 统计,截点值为 148.8 U/ml 时,LVEF≤45%的敏感性为 51.6%,特异性为 73.7%。SOD 活性与 NT-proBNP、hs-cTnT、炎症标志物 CRP 和纤维蛋白原水平相关。尽管将最低四分位数作为参考(OR 0.368,95%CI 0.493-0.825,P=0.001)或检查 1 个单位的标准化增加(OR 0.651,95%CI 0.482-0.880,P=0.005),SOD 活性是预测 LVEF 降低的更强指标,独立于混杂因素。

结论

本横断面研究表明,SOD 活性可能是评估和监测 2 型糖尿病合并 ACS 患者 LVEF 降低的一种有价值且易于获得的工具。

https://cdn.ncbi.nlm.nih.gov/pmc/blobs/47ed/10988854/8a3ceb06ad3e/12872_2024_3867_Fig1_HTML.jpg

文献检索

告别复杂PubMed语法,用中文像聊天一样搜索,搜遍4000万医学文献。AI智能推荐,让科研检索更轻松。

立即免费搜索

文件翻译

保留排版,准确专业,支持PDF/Word/PPT等文件格式,支持 12+语言互译。

免费翻译文档

深度研究

AI帮你快速写综述,25分钟生成高质量综述,智能提取关键信息,辅助科研写作。

立即免费体验