Suppr超能文献

一般人群中心脏性猝死的风险预测:系统评价和荟萃分析。

Risk Prediction for Sudden Cardiac Death in the General Population: A Systematic Review and Meta-Analysis.

机构信息

College of Management and Economics, Tianjin University, Tianjin, China.

Institute of Disaster and Emergency Medicine, Tianjin University, Tianjin, China.

出版信息

Int J Public Health. 2024 Mar 20;69:1606913. doi: 10.3389/ijph.2024.1606913. eCollection 2024.

Abstract

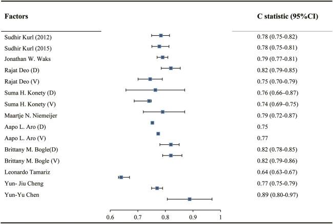
Identification of SCD risk is important in the general population from a public health perspective. The objective is to summarize and appraise the available prediction models for the risk of SCD among the general population. Data were obtained searching six electronic databases and reporting prediction models of SCD risk in the general population. Studies with duplicate cohorts and missing information were excluded from the meta-analysis. Out of 8,407 studies identified, fifteen studies were included in the systematic review, while five studies were included in the meta-analysis. The Cox proportional hazards model was used in thirteen studies (96.67%). Study locations were limited to Europe and the United States. Our pooled meta-analyses included four predictors: diabetes mellitus (ES = 2.69, 95%CI: 1.93, 3.76), QRS duration (ES = 1.16, 95%CI: 1.06, 1.26), spatial QRS-T angle (ES = 1.46, 95%CI: 1.27, 1.69) and factional shortening (ES = 1.37, 95%CI: 1.15, 1.64). Risk prediction model may be useful as an adjunct for risk stratification strategies for SCD in the general population. Further studies among people except for white participants and more accessible factors are necessary to explore.

摘要

从公共卫生的角度来看,识别 SCD 风险在普通人群中很重要。目的是总结和评估普通人群中 SCD 风险的可用预测模型。通过搜索六个电子数据库,获取了数据,报告了普通人群中 SCD 风险的预测模型。从荟萃分析中排除了具有重复队列和缺失信息的研究。在确定的 8407 项研究中,有 15 项研究纳入了系统评价,5 项研究纳入了荟萃分析。在 13 项研究中使用了 Cox 比例风险模型(96.67%)。研究地点仅限于欧洲和美国。我们的荟萃分析包括四个预测因素:糖尿病(ES = 2.69,95%CI:1.93,3.76)、QRS 持续时间(ES = 1.16,95%CI:1.06,1.26)、空间 QRS-T 角(ES = 1.46,95%CI:1.27,1.69)和分数缩短(ES = 1.37,95%CI:1.15,1.64)。风险预测模型可能有助于对普通人群中 SCD 的风险分层策略进行辅助分层。需要进一步研究除了白人参与者以外的人群和更易获得的因素。

https://cdn.ncbi.nlm.nih.gov/pmc/blobs/cc86/10988292/326241fcaead/ijph-69-1606913-g001.jpg

文献AI研究员

20分钟写一篇综述,助力文献阅读效率提升50倍。

立即体验

用中文搜PubMed

大模型驱动的PubMed中文搜索引擎

马上搜索

文档翻译

学术文献翻译模型,支持多种主流文档格式。

立即体验