Suppr超能文献

通过网络分析频域反射法进行分布式温度传感。

Distributed Temperature Sensing through Network Analysis Frequency-Domain Reflectometry.

作者信息

Zahoor Rizwan, Vallifuoco Raffaele, Zeni Luigi, Minardo Aldo

机构信息

Department of Engineering, Università della Campania Luigi Vanvitelli, Via Roma 29, 81031 Aversa, Italy.

出版信息

Sensors (Basel). 2024 Apr 8;24(7):2378. doi: 10.3390/s24072378.

Abstract

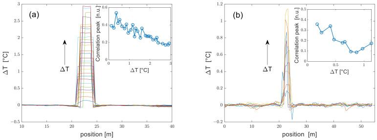
In this paper, we propose and demonstrate a network analysis optical frequency domain reflectometer (NA-OFDR) for distributed temperature measurements at high spatial (down to ≈3 cm) and temperature resolution. The system makes use of a frequency-stepped, continuous-wave (cw) laser whose output light is modulated using a vector network analyzer. The latter is also used to demodulate the amplitude of the beat signal formed by coherently mixing the Rayleigh backscattered light with a local oscillator. The system is capable of attaining high measurand resolution (≈50 mK at 3-cm spatial resolution) thanks to the high sensitivity of coherent Rayleigh scattering to temperature. Furthermore, unlike the conventional optical-frequency domain reflectometry (OFDR), the proposed system does not rely on the use of a tunable laser and therefore is less prone to limitations related to the laser coherence or sweep nonlinearity. Two configurations are analyzed, both numerically and experimentally, based on either a double-sideband or single-sideband modulated probe light. The results confirm the validity of the proposed approach.

摘要

在本文中,我们提出并演示了一种用于高空间分辨率(低至约3厘米)和温度分辨率分布式温度测量的网络分析光学频域反射仪(NA-OFDR)。该系统利用频率步进连续波(cw)激光器,其输出光由矢量网络分析仪调制。矢量网络分析仪还用于解调通过将瑞利背向散射光与本地振荡器相干混合形成的拍频信号的幅度。由于相干瑞利散射对温度具有高灵敏度,该系统能够实现高测量分辨率(在3厘米空间分辨率下约为50 mK)。此外,与传统光学频域反射仪(OFDR)不同,所提出的系统不依赖于可调谐激光器的使用,因此不太容易受到与激光相干性或扫描非线性相关的限制。基于双边带或单边带调制探测光,对两种配置进行了数值和实验分析。结果证实了所提方法的有效性。

https://cdn.ncbi.nlm.nih.gov/pmc/blobs/fb31/11014220/11988d891380/sensors-24-02378-g001.jpg

文献AI研究员

20分钟写一篇综述,助力文献阅读效率提升50倍。

立即体验

用中文搜PubMed

大模型驱动的PubMed中文搜索引擎

马上搜索

文档翻译

学术文献翻译模型,支持多种主流文档格式。

立即体验