• 文献检索
  • 文档翻译
  • 深度研究
  • 学术资讯
  • Suppr Zotero 插件Zotero 插件
  • 邀请有礼
  • 套餐&价格
  • 历史记录
应用&插件
Suppr Zotero 插件Zotero 插件浏览器插件Mac 客户端Windows 客户端微信小程序
定价
高级版会员购买积分包购买API积分包
服务
文献检索文档翻译深度研究API 文档MCP 服务
关于我们
关于 Suppr公司介绍联系我们用户协议隐私条款
关注我们

Suppr 超能文献

核心技术专利:CN118964589B侵权必究
粤ICP备2023148730 号-1Suppr @ 2026

文献检索

告别复杂PubMed语法,用中文像聊天一样搜索,搜遍4000万医学文献。AI智能推荐,让科研检索更轻松。

立即免费搜索

文件翻译

保留排版,准确专业,支持PDF/Word/PPT等文件格式,支持 12+语言互译。

免费翻译文档

深度研究

AI帮你快速写综述,25分钟生成高质量综述,智能提取关键信息,辅助科研写作。

立即免费体验

含有紫苏皮提取物和升级再造水相大豆粉的可持续水包油乳液的物理稳定性和抗氧化能力

Physical Stability and Antioxidant Ability of a Sustainable Oil-in-Water Emulsion Containing Perilla Skin Extract and Upcycled Aquasoya Powder.

作者信息

Kang Bo-Kyong, Yu Jing-Chao, Shin Weon-Sun

机构信息

Department of Food and Nutrition, College of Human Ecology, Hanyang University, 17 Haengdang-dong, Seongdong-gu, Seoul 04763, Republic of Korea.

出版信息

Foods. 2024 Mar 29;13(7):1063. doi: 10.3390/foods13071063.

DOI:10.3390/foods13071063
PMID:38611367
原文链接:https://pmc.ncbi.nlm.nih.gov/articles/PMC11011918/
Abstract

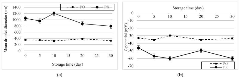
In response to environmental issues, upcycling has become a growing trend in the food industry. Aquasoya is a promising method to upcycle by-product from soybean processing due to its high protein contents and excellent emulsifying ability. In the present research, Aquasoya powder was used an emulsifier to incorporate the antioxidant compounds from perilla skin extract (PSE), namely rosmarinic acid, into oil-in-water (O/W) emulsion system and its physochemical stability was assessed. As a result, droplet size of the emulsion was smaller in PSE-incorporated emulsion (PO, 350.57 ± 9.60 nm) than the emulsion without PSE (PX, 1045.37 ± 142.63 nm). Centrifugal photosedimentometry analysis also revealed that the physical stability was significantly improved in PO, and the stability was maintained over 30 d of storage. Furthermore, as PO had a higher ABTS radical scavenging ability and showed slower initial lipid oxidation, it was concluded that PO has a higher antioxidant ability than PX. Conclusively, Aquasoya can be considered as an emulsifier in O/W emulsion with PSE because it can effectively integrate and stabilize the antioxidant substance derived from perilla skin.

摘要

为应对环境问题,升级再造已成为食品行业日益增长的趋势。由于其高蛋白含量和出色的乳化能力,水相大豆蛋白是一种很有前景的大豆加工副产物升级再造方法。在本研究中,水相大豆蛋白粉被用作乳化剂,将紫苏皮提取物(PSE)中的抗氧化化合物迷迭香酸纳入水包油(O/W)乳液体系,并评估其物理化学稳定性。结果,与不含PSE的乳液(PX,1045.37±142.63纳米)相比,含PSE的乳液(PO,350.57±9.60纳米)的液滴尺寸更小。离心光沉降分析还表明,PO的物理稳定性显著提高,且在储存30天以上仍能保持稳定。此外,由于PO具有更高的ABTS自由基清除能力且初始脂质氧化较慢,得出的结论是PO比PX具有更高的抗氧化能力。总之,水相大豆蛋白可被视为含PSE的O/W乳液中的乳化剂,因为它能有效整合和稳定源自紫苏皮的抗氧化物质。

https://cdn.ncbi.nlm.nih.gov/pmc/blobs/35f1/11011918/d92d3f7e6d06/foods-13-01063-g006.jpg
https://cdn.ncbi.nlm.nih.gov/pmc/blobs/35f1/11011918/97008e679f45/foods-13-01063-g001.jpg
https://cdn.ncbi.nlm.nih.gov/pmc/blobs/35f1/11011918/7e1572f68272/foods-13-01063-g002.jpg
https://cdn.ncbi.nlm.nih.gov/pmc/blobs/35f1/11011918/344e34aa8066/foods-13-01063-g003.jpg
https://cdn.ncbi.nlm.nih.gov/pmc/blobs/35f1/11011918/b4c0c1823ccc/foods-13-01063-g004.jpg
https://cdn.ncbi.nlm.nih.gov/pmc/blobs/35f1/11011918/347217515c38/foods-13-01063-g005.jpg
https://cdn.ncbi.nlm.nih.gov/pmc/blobs/35f1/11011918/d92d3f7e6d06/foods-13-01063-g006.jpg
https://cdn.ncbi.nlm.nih.gov/pmc/blobs/35f1/11011918/97008e679f45/foods-13-01063-g001.jpg
https://cdn.ncbi.nlm.nih.gov/pmc/blobs/35f1/11011918/7e1572f68272/foods-13-01063-g002.jpg
https://cdn.ncbi.nlm.nih.gov/pmc/blobs/35f1/11011918/344e34aa8066/foods-13-01063-g003.jpg
https://cdn.ncbi.nlm.nih.gov/pmc/blobs/35f1/11011918/b4c0c1823ccc/foods-13-01063-g004.jpg
https://cdn.ncbi.nlm.nih.gov/pmc/blobs/35f1/11011918/347217515c38/foods-13-01063-g005.jpg
https://cdn.ncbi.nlm.nih.gov/pmc/blobs/35f1/11011918/d92d3f7e6d06/foods-13-01063-g006.jpg

相似文献

1
Physical Stability and Antioxidant Ability of a Sustainable Oil-in-Water Emulsion Containing Perilla Skin Extract and Upcycled Aquasoya Powder.含有紫苏皮提取物和升级再造水相大豆粉的可持续水包油乳液的物理稳定性和抗氧化能力
Foods. 2024 Mar 29;13(7):1063. doi: 10.3390/foods13071063.
2
Peanut skin phenolics obtained by green solvent extraction: characterization and antioxidant activity in pure chia oil and chia oil in water (O/W) emulsion.通过绿色溶剂萃取获得的花生皮酚类物质:在纯奇亚籽油和水包油(O/W)型奇亚籽油水乳液中的表征及抗氧化活性
J Sci Food Agric. 2022 Apr;102(6):2396-2403. doi: 10.1002/jsfa.11577. Epub 2021 Oct 22.
3
Oxidation stability of oil-in-water emulsion prepared from perilla seed oil and soy sauce with high salt concentration using OSA-starch.使用辛烯基琥珀酸淀粉酯(OSA-淀粉)制备的紫苏籽油与高盐酱油水包油乳液的氧化稳定性
Food Sci Biotechnol. 2023 Mar 24;32(13):1883-1891. doi: 10.1007/s10068-023-01296-z. eCollection 2023 Nov.
4
Fatty acid composition and quality properties of chicken sausage formulated with pre-emulsified perilla-canola oil as an animal fat replacer.用预乳化紫苏-菜籽油替代动物脂肪配制鸡肉香肠的脂肪酸组成和品质特性。
Poult Sci. 2019 Jul 1;98(7):3059-3066. doi: 10.3382/ps/pez105.
5
An innovative Pickering W/O/W nanoemulsion co-encapsulating hydrophilic lysozyme and hydrophobic Perilla leaf oil for extending shelf life of fish products.一种创新的 Pickering W/O/W 纳米乳液,共包封亲水性溶菌酶和疏水性紫苏叶油,以延长鱼制品的保质期。
Food Chem. 2024 May 1;439:138074. doi: 10.1016/j.foodchem.2023.138074. Epub 2023 Nov 28.
6
Pickering emulsion stabilized by Haematococcus pluvialis protein particles and its application in dumpling stuffing.由雨生红球藻蛋白颗粒稳定的 Pickering 乳液及其在饺子馅中的应用。
Food Res Int. 2023 Aug;170:112957. doi: 10.1016/j.foodres.2023.112957. Epub 2023 May 14.
7
Antioxidant activity and emulsion-stabilizing effect of pectic enzyme treated pectin in soy protein isolate-stabilized oil/water emulsion.果胶酶处理的果胶在大豆分离蛋白稳定的油/水乳液中的抗氧化活性和乳化稳定性。
J Agric Food Chem. 2011 Sep 14;59(17):9623-8. doi: 10.1021/jf202020t. Epub 2011 Aug 9.
8
Iron Encapsulation in Water-in-Oil Emulsions: Effect of Ferrous Sulfate Concentration and Fat Crystal Formation on Oxidative Stability.水包油乳液中铁的包裹:硫酸亚铁浓度和脂肪晶体形成对氧化稳定性的影响。
J Food Sci. 2018 Feb;83(2):309-317. doi: 10.1111/1750-3841.14034. Epub 2018 Jan 12.
9
Physical and oxidative stability of chicken oil-in-water emulsion stabilized by chicken protein hydrolysates.鸡肉蛋白水解物稳定的鸡肉水包油乳液的物理和氧化稳定性
Food Sci Nutr. 2019 Dec 9;8(1):371-378. doi: 10.1002/fsn3.1316. eCollection 2020 Jan.
10
Effect of Emulsifier Type, Maltodextrin, and β-Cyclodextrin on Physical and Oxidative Stability of Oil-In-Water Emulsions.乳化剂类型、麦芽糊精和β-环糊精对水包油型乳液的物理和氧化稳定性的影响。
J Food Sci. 2019 Jun;84(6):1273-1280. doi: 10.1111/1750-3841.14619. Epub 2019 May 6.

本文引用的文献

1
Food systems are responsible for a third of global anthropogenic GHG emissions.食物系统产生的温室气体排放量占全球人为温室气体排放总量的三分之一。
Nat Food. 2021 Mar;2(3):198-209. doi: 10.1038/s43016-021-00225-9. Epub 2021 Mar 8.
2
Structural and functional modification of proteins from black soybean Aquasoya via ultrasonication.通过超声处理对黑大豆 Aquasoya 蛋白进行结构和功能修饰。
Ultrason Sonochem. 2022 Dec;91:106220. doi: 10.1016/j.ultsonch.2022.106220. Epub 2022 Nov 9.
3
Perilla pomace obtained from four different varieties have different levels and types of polyphenols and anti-allergic activity.
从四个不同品种获得的紫苏粕具有不同水平和类型的多酚以及抗过敏活性。
Cytotechnology. 2022 Apr;74(2):341-349. doi: 10.1007/s10616-022-00522-6. Epub 2022 Feb 11.
4
Evaluation of the Physicochemical and Functional Properties of Aquasoya ( Merr.) Powder for Vegan Muffin Preparation.用于纯素松饼制备的水大豆(Merr.)粉的物理化学和功能特性评估。
Foods. 2022 Feb 18;11(4):591. doi: 10.3390/foods11040591.
5
A combined approach for modifying pea protein isolate to greatly improve its solubility and emulsifying stability.联合改性豌豆分离蛋白的方法,可极大提高其溶解性和乳化稳定性。
Food Chem. 2022 Jun 30;380:131832. doi: 10.1016/j.foodchem.2021.131832. Epub 2021 Dec 17.
6
Aquafaba from Korean Soybean II: Physicochemical Properties and Composition Characterized by NMR Analysis.来自韩国大豆的豆蛋白泡沫:通过核磁共振分析表征的物理化学性质和组成
Foods. 2021 Oct 26;10(11):2589. doi: 10.3390/foods10112589.
7
Revalorization of the Cooking Water (Aquafaba) from Soybean Varieties Generated as a By-Product of Food Manufacturing in Korea.韩国食品制造业产生的大豆品种烹饪水(aquafaba)的再利用
Foods. 2021 Sep 27;10(10):2287. doi: 10.3390/foods10102287.
8
Seed Oil Enhances Cognitive Function and Mental Health in Healthy Elderly Japanese Individuals by Enhancing the Biological Antioxidant Potential.种子油通过增强生物抗氧化潜力来提高健康老年日本人的认知功能和心理健康。
Foods. 2021 May 19;10(5):1130. doi: 10.3390/foods10051130.
9
Characteristics of two cedarwood essential oil emulsions and their antioxidant and antibacterial activities.两种雪松精油乳液的特性及其抗氧化和抗菌活性。
Food Chem. 2021 Jun 1;346:128970. doi: 10.1016/j.foodchem.2020.128970. Epub 2021 Jan 1.
10
Therapeutic Effects of Cold-Pressed Perilla Oil Mainly Consisting of Linolenic acid, Oleic Acid and Linoleic Acid on UV-Induced Photoaging in NHDF Cells and SKH-1 Hairless Mice.主要由亚麻酸、油酸和亚油酸组成的冷榨紫苏油对紫外线诱导的人新生儿皮肤成纤维细胞和SKH-1无毛小鼠光老化的治疗作用
Molecules. 2020 Feb 22;25(4):989. doi: 10.3390/molecules25040989.