Department of Clinical Medicine, Institute of Tropical Medicine, Nagasaki University, Nagasaki, Japan.
School of Tropical Medicine and Global Health, Nagasaki University, Nagasaki, Japan.
Front Immunol. 2024 Apr 10;15:1330796. doi: 10.3389/fimmu.2024.1330796. eCollection 2024.
There is no useful method to discriminate between latent tuberculosis infection (LTBI) and active pulmonary tuberculosis (PTB). This study aimed to investigate the potential of cytokine profiles to discriminate between LTBI and active PTB using whole-blood stimulation with (MTB) antigens, including latency-associated antigens.
Patients with active PTB, household contacts of active PTB patients and community exposure subjects were recruited in Manila, the Philippines. Peripheral blood was collected from the participants and used for whole-blood stimulation (WBS) with either the early secretory antigenic target and the 10-kDa culture filtrate protein (ESAT-6/CFP-10), Rv3879c or latency-associated MTB antigens, including mycobacterial DNA-binding protein 1 (MDP-1), α-crystallin (Acr) and heparin-binding hemagglutinin (HBHA). Multiple cytokine concentrations were analyzed using the Bio-Plex™ multiplex cytokine assay.
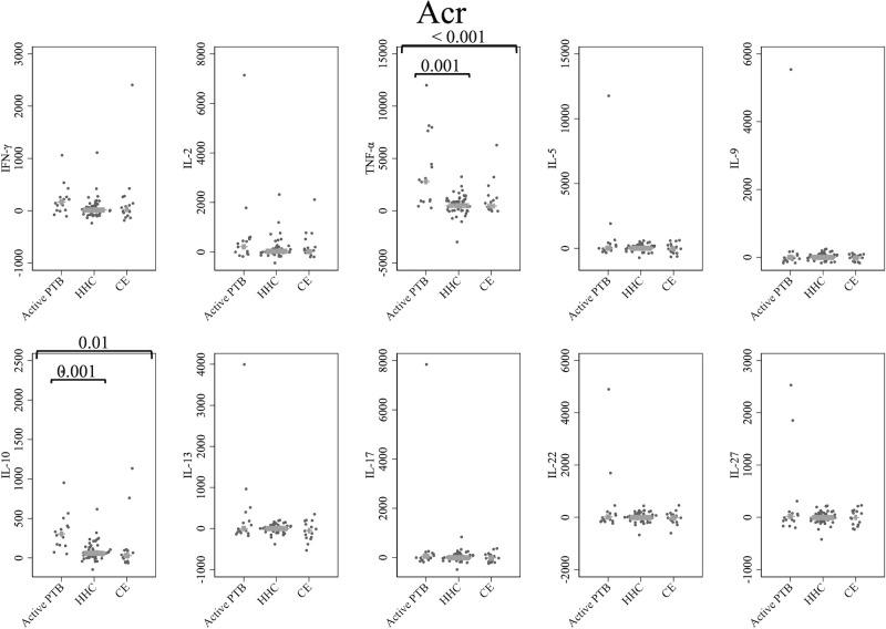
A total of 78 participants consisting of 15 active PTB patients, 48 household contacts and 15 community exposure subjects were eligible. The MDP-1-specific IFN-γ level in the active PTB group was significantly lower than that in the household contact group (p < 0.001) and the community exposure group (p < 0.001). The Acr-specific TNF-α and IL-10 levels in the active PTB group were significantly higher than those in the household contact (TNF-α; p = 0.001, IL-10; p = 0.001) and community exposure (TNF-α; p < 0.001, IL-10; p = 0.01) groups. However, there was no significant difference in the ESAT-6/CFP-10-specific IFN-γ levels among the groups.
The patterns of cytokine profiles induced by latency-associated MTB antigens using WBS have the potential to discriminate between LTBI and active PTB. In particular, combinations of IFN-γ and MDP-1, TNF-α and Acr, and IL-10 and Acr are promising. This study provides the first demonstration of the utility of MDP-1-specific cytokine responses in WBS.
目前尚无有效的方法来区分潜伏性结核感染(LTBI)和活动性肺结核(PTB)。本研究旨在探讨利用全血刺激(WBS)MTB 抗原(包括潜伏相关抗原)来区分 LTBI 和活动性 PTB 的细胞因子谱的潜力。
在菲律宾马尼拉招募了活动性 PTB 患者、活动性 PTB 患者的家庭接触者和社区暴露者。从参与者中采集外周血,并用早期分泌抗原靶标和 10kDa 培养滤液蛋白(ESAT-6/CFP-10)、Rv3879c 或潜伏相关 MTB 抗原(包括分枝杆菌 DNA 结合蛋白 1(MDP-1)、α-晶体蛋白(Acr)和肝素结合血凝素(HBHA)进行全血刺激(WBS)。使用 Bio-Plex™ 多指标细胞因子检测试剂盒分析多种细胞因子浓度。
共有 78 名参与者符合条件,包括 15 名活动性 PTB 患者、48 名家庭接触者和 15 名社区暴露者。与家庭接触者组(p<0.001)和社区暴露者组(p<0.001)相比,活动性 PTB 组中 MDP-1 特异性 IFN-γ 水平显著降低。与家庭接触者组(TNF-α;p=0.001,IL-10;p=0.001)和社区暴露者组(TNF-α;p<0.001,IL-10;p=0.01)相比,活动性 PTB 组中 Acr 特异性 TNF-α 和 IL-10 水平显著升高。然而,各组之间 ESAT-6/CFP-10 特异性 IFN-γ 水平无显著差异。
WBS 中使用潜伏相关 MTB 抗原诱导的细胞因子谱模式有可能区分 LTBI 和活动性 PTB。特别是 IFN-γ 和 MDP-1、TNF-α 和 Acr 以及 IL-10 和 Acr 的组合具有很大的潜力。本研究首次证明了 MDP-1 特异性细胞因子反应在 WBS 中的应用价值。