Suppr超能文献

季节性冻土地区混凝土路面抗冻融性能研究

Study on the Freeze-Thaw Resistance of Concrete Pavements in Seasonally Frozen Regions.

作者信息

Zhao Ruize, Shi Chenglin, Zhang Ruixin, Wang Wensheng, Zhu Huirong, Luo Jing

机构信息

College of Transportation Science and Engineering, Jilin Jianzhu University, Changchun 130118, China.

Kay Laboratory of Architectral Cold Climate Energy Management, Ministry of Education, Jilin Jianzhu University, Changchun 130118, China.

出版信息

Materials (Basel). 2024 Apr 19;17(8):1902. doi: 10.3390/ma17081902.

Abstract

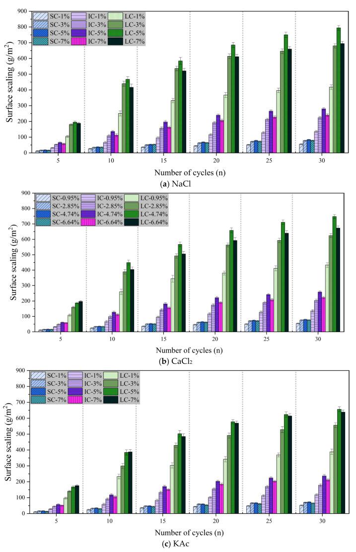
In seasonally frozen regions, concrete pavement is exposed to cycles of freeze-thaw and erosion from de-icing salt, which can lead to unfavorable service conditions and vulnerability to damage. This paper examines the compressive strength, flexural-tensile strength, abrasion resistance, permeability, and spacing factor of concrete, taking into account the impact of various curing conditions, de-icing salt solutions, and mass fractions on the concrete's freeze-thaw resistance. Two test methods, the single-face method and the fast-freezing method, were used to comparatively analyze the freeze-thaw resistance of concrete. The analysis was based on the surface scaling, water absorption rate, mass loss rate, relative dynamic elastic modulus, and relative durability index. The results indicate that the presence of salt solution significantly worsened the degree of concrete damage caused by freeze-thaw cycles. The use of freeze-thaw media, specifically sodium chloride (NaCl), calcium chloride (CaCl2), and potassium acetate (KAc) at mass fractions of 5%, 4.74%, and 5%, respectively, had the greatest impact on the surface scaling of concrete. However, their effect on the water absorption rate was inconsistent. When the freeze-thaw medium was water, the concrete's relative dynamic elastic modulus and relative durability index were 9.6% and 75.3% higher, respectively, for concrete cured in 20 °C-95% RH conditions compared to those cured in 0 °C-50% RH conditions. We propose a comprehensive relative durability index (DFw) by combining the results of two methods of freeze-thaw tests. The DFw of concrete cured in 0 °C-50% RH conditions was 83.8% lower than that of concrete cured in 20 °C-95% RH conditions when exposed to a freeze-thaw medium of 5% mass fraction NaCl solution. To evaluate the salt freeze-thaw resistance of concrete pavement, it is recommended to use surface scaling and DFw together.

摘要

在季节性冻土地区,混凝土路面会受到冻融循环以及除冰盐侵蚀的影响,这可能导致路面使用状况不佳且易损坏。本文研究了混凝土的抗压强度、弯拉强度、耐磨性、渗透性和间距系数,同时考虑了不同养护条件、除冰盐溶液和质量分数对混凝土抗冻融性能的影响。采用单面法和快速冻融法两种试验方法,对混凝土的抗冻融性能进行了对比分析。分析基于表面剥落、吸水率、质量损失率、相对动弹模量和相对耐久性指标。结果表明,盐溶液的存在显著加剧了冻融循环对混凝土造成的损伤程度。分别使用质量分数为5%的氯化钠(NaCl)、4.74%的氯化钙(CaCl2)和5%的醋酸钾(KAc)作为冻融介质,对混凝土表面剥落的影响最大。然而,它们对吸水率的影响并不一致。当冻融介质为水时,与在0℃-50%相对湿度条件下养护的混凝土相比,在20℃-95%相对湿度条件下养护的混凝土,其相对动弹模量和相对耐久性指标分别高出9.6%和75.3%。通过结合两种冻融试验方法的结果,我们提出了一个综合相对耐久性指标(DFw)。当暴露于质量分数为5%的NaCl溶液冻融介质中时,在0℃-50%相对湿度条件下养护的混凝土的DFw比在20℃-95%相对湿度条件下养护的混凝土低83.8%。为评估混凝土路面的抗盐冻融性能,建议同时使用表面剥落和DFw这两个指标。

https://cdn.ncbi.nlm.nih.gov/pmc/blobs/2c17/11052220/e945322354dd/materials-17-01902-g001.jpg

文献检索

告别复杂PubMed语法,用中文像聊天一样搜索,搜遍4000万医学文献。AI智能推荐,让科研检索更轻松。

立即免费搜索

文件翻译

保留排版,准确专业,支持PDF/Word/PPT等文件格式,支持 12+语言互译。

免费翻译文档

深度研究

AI帮你快速写综述,25分钟生成高质量综述,智能提取关键信息,辅助科研写作。

立即免费体验