Suppr超能文献

探究重大心血管手术中钙代谢生物标志物与围手术期临床事件之间的潜在相关性:一项探索性研究。

Investigating Potential Correlations between Calcium Metabolism Biomarkers and Periprocedural Clinical Events in Major Cardiovascular Surgeries: An Exploratory Study.

作者信息

Ștef Adrian, Bodolea Constantin, Bocșan Ioana Corina, Vesa Ștefan Cristian, Pop Raluca Maria, Cainap Simona Sorana, Achim Alexandru, Antal Oana, Tintiuc Nadina, Buzoianu Anca Dana

机构信息

Clinical Department of Anesthesia and Intensive Care, Heart Institute "Niculae Stancioiu", "Iuliu Hatieganu" University of Medicine and Pharmacy, Motilor 19-21, 400001 Cluj-Napoca, Romania.

Anesthesia and Intensive Care 2 Discipline, "Iuliu Hatieganu" University of Medicine and Pharmacy, Victor Babes Nr 8 Street, 400012 Cluj-Napoca, Romania.

出版信息

J Clin Med. 2024 Apr 12;13(8):2242. doi: 10.3390/jcm13082242.

Abstract

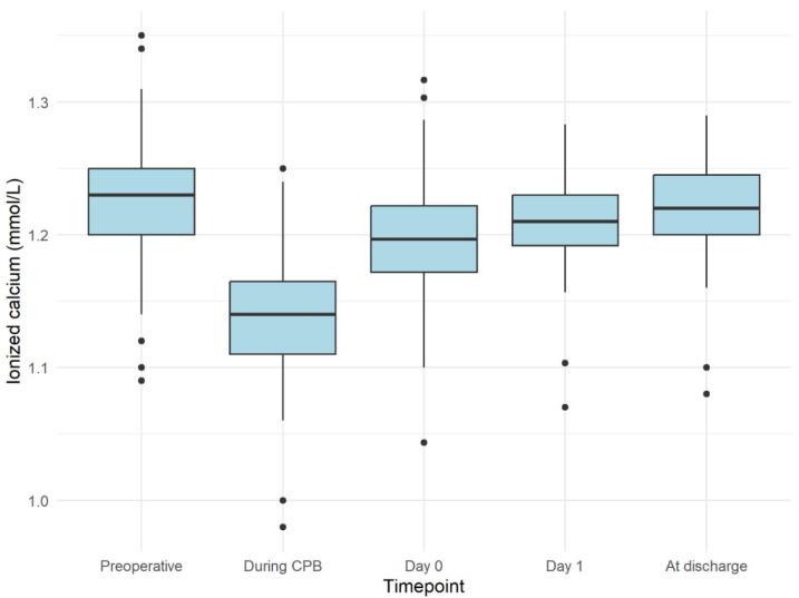
There is emerging but conflicting evidence regarding the association between calcium biomarkers, more specifically ionized calcium and the prognosis of intensive care unit (ICU) postoperative cardiac patients. : Our study investigated the relationship between ionized calcium, vitamin D, and periprocedural clinical events such as cardiac, neurologic and renal complications, major bleeding, vasoactive-inotropic score (VIS), and length of ICU and hospitalization. : Our study included 83 consecutive subjects undergoing elective major cardiac surgery requiring cardiopulmonary bypass. The mean age of the participants was 64.9 ± 8.5 years. The majority of procedures comprised isolated CABG (N = 26, 31.3%), aortic valve procedures (N = 26, 31.3%), and mitral valve procedures (N = 12, 14.5%). A difference in calcium levels across all time points ( < 0.001) was observed, with preoperative calcium being directly associated with intraoperative VIS (r = 0.26, = 0.016). On day 1, calcium levels were inversely associated with the duration of mechanical ventilation (r = -0.30, = 0.007) and the length of hospital stay (r = -0.22, = 0.049). At discharge, calcium was inversely associated with length of hospital stay (r = -0.22, = 0.044). All calcium levels tended to be lower in those who died during the 1-year follow-up ( = 0.054). Preoperative vitamin D levels were significantly higher in those who experienced AKI during hospitalization (median 17.5, IQR 14.5-17.7, versus median 15.3, IQR 15.6-20.5, = 0.048) : Fluctuations in calcium levels and vitamin D may be associated with the clinical course of patients undergoing cardiac surgery. In our study, hypocalcemic patients exhibited a greater severity of illness, as evidenced by elevated VIS scores, and experienced prolonged mechanical ventilation time and hospital stays. Additional larger-scale studies are required to gain a deeper understanding of their impact on cardiac performance and the process of weaning from cardiopulmonary bypass, as well as to distinguish between causal and associative relationships.

摘要

关于钙生物标志物,更具体地说是离子钙与重症监护病房(ICU)心脏术后患者预后之间的关联,有新出现但相互矛盾的证据。:我们的研究调查了离子钙、维生素D与围手术期临床事件之间的关系,如心脏、神经和肾脏并发症、大出血、血管活性-正性肌力评分(VIS)以及ICU住院时间和总住院时间。:我们的研究纳入了83例连续接受需要体外循环的择期心脏大手术的受试者。参与者的平均年龄为64.9±8.5岁。大多数手术包括单纯冠状动脉旁路移植术(CABG,N = 26,31.3%)、主动脉瓣手术(N = 26,31.3%)和二尖瓣手术(N = 12,14.5%)。观察到所有时间点的钙水平存在差异(<0.001),术前钙水平与术中VIS直接相关(r = 0.26, = 0.016)。在术后第1天,钙水平与机械通气时间(r = -0.30, = 0.007)和住院时间(r = -0.22, = 0.049)呈负相关。出院时,钙水平与住院时间呈负相关(r = -0.22, = 0.044)。在1年随访期间死亡的患者中,所有钙水平往往较低( = 0.054)。住院期间发生急性肾损伤(AKI)的患者术前维生素D水平显著更高(中位数17.5,四分位间距14.5 - 17.7,而中位数15.3,四分位间距15.6 - 20.5, = 0.048):钙水平和维生素D的波动可能与心脏手术患者的临床病程有关。在我们的研究中,低钙血症患者病情更严重,如VIS评分升高所示,且机械通气时间和住院时间延长。需要更多大规模研究来更深入了解它们对心脏功能和体外循环撤机过程的影响,以及区分因果关系和关联关系。

https://cdn.ncbi.nlm.nih.gov/pmc/blobs/8745/11051212/75eb8f63fc34/jcm-13-02242-g001.jpg

文献AI研究员

20分钟写一篇综述,助力文献阅读效率提升50倍。

立即体验

用中文搜PubMed

大模型驱动的PubMed中文搜索引擎

马上搜索

文档翻译

学术文献翻译模型,支持多种主流文档格式。

立即体验