Liu Jun, Zhang Hao, Wang Yingying, Liu Enyu, Shi Huan, Gao Guanjun, Zhang Qinglu, Lou Guangming, Jiang Gonghao, He Yuqing
National Key Laboratory of Crop Genetic Improvement and National Center of Plant Gene Research, Hubei Hongshan Laboratory, Huazhong Agricultural University, Wuhan 430070, China.
Institute of Crop Germplasm Resources, Guizhou Academy of Agriculture Science, Guiyang 550006, China.
Int J Mol Sci. 2024 Apr 16;25(8):4389. doi: 10.3390/ijms25084389.
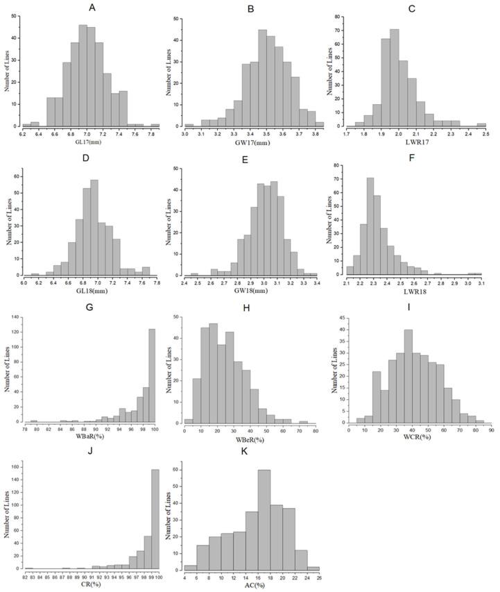
The quality of rice, evaluated using multiple quality-related traits, is the main determinant of its market competitiveness. In this study, two rice varieties with significant differences in quality-related traits were used as parents to construct two populations, BCF and BCF, with Kongyu131 (KY131) as the recurrent parent. A genetic linkage map was constructed using the BCF population based on 151 pairs of SSR/InDel polymorphic markers selected between the parents. Grain-shape-related traits (grain length GL, grain width GW, and length-to-width ratio LWR), chalkiness-related traits (white-core rate WCR, white-belly rate WBR, white-back rate BR, and chalkiness rate CR), and amylose content (AC) were investigated in the two populations in 2017 and 2018. Except for BR and CR, the traits showed similar characteristics with a normal distribution in both populations. Genetic linkage analysis was conducted for these quality-related traits, and a total of 37 QTLs were detected in the two populations. Further validation was performed on the newly identified QTLs with larger effects, and three grain shape QTLs and four chalkiness QTLs were successfully validated in different environments. One repeatedly validated QTL, , was selected for fine mapping and was successfully narrowed down to a 100 kb region in which only two genes, and , exhibited sequence variations between the parents. Furthermore, the variation of leads to a frameshift mutation and premature protein termination. The results of this study provide a theoretical basis for positional cloning of the gene, thus offering new genetic resources for rice quality improvement.
利用多个与品质相关的性状评估的稻米品质是其市场竞争力的主要决定因素。在本研究中,选用两个品质相关性状差异显著的水稻品种作为亲本,以空育131(KY131)为轮回亲本构建了两个群体,即BCF和BCF。基于在亲本间筛选出的151对SSR/InDel多态性标记,利用BCF群体构建了遗传连锁图谱。2017年和2018年在两个群体中对粒形相关性状(粒长GL、粒宽GW和长宽比LWR)、垩白相关性状(白心率WCR、腹白率WBR、背白率BR和垩白率CR)以及直链淀粉含量(AC)进行了调查。除BR和CR外,两个群体中这些性状均呈现正态分布的相似特征。对这些品质相关性状进行了遗传连锁分析,在两个群体中共检测到37个QTL。对新鉴定的效应较大的QTL进行了进一步验证,在不同环境中成功验证了3个粒形QTL和4个垩白QTL。选择一个多次验证的QTL进行精细定位,并成功将其缩小到一个100 kb的区域,该区域内只有两个基因, 和 ,在亲本间表现出序列变异。此外, 的变异导致移码突变和蛋白质过早终止。本研究结果为 基因的图位克隆提供了理论依据,从而为水稻品质改良提供了新的遗传资源。