Ochiai Bungo, Kobayashi Yuriko
Graduate School of Science and Engineering, Yamagata University, Yamagata 990-8510, Japan.
Polymers (Basel). 2024 Apr 18;16(8):1136. doi: 10.3390/polym16081136.
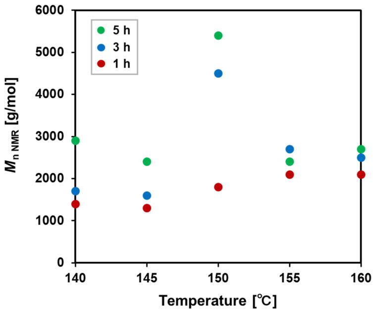
Non-isocyanate polyurethane synthesis by non-Sn catalysis is an essential challenge toward green polyurethane synthesis. Bismuth compounds are attractive candidates due to their low cost, low toxicity, and availability to urethane chemistry. This work applied various Bi catalysts to the self-polycondensation of a bishydroxyurethane monomer and found BiCl to be an excellent catalyst through optimization. The catalytic activity and price of BiCl are comparable to those of BuSnO, while its toxicity is significantly low. BiCl is, therefore, a promising alternative to Sn-based catalysts in non-isocyanate polyurethane synthesis.
通过非锡催化合成非异氰酸酯聚氨酯是绿色聚氨酯合成面临的一项重大挑战。铋化合物因其成本低、毒性小且可用于聚氨酯化学领域而成为有吸引力的候选物。这项工作将各种铋催化剂应用于双羟基聚氨酯单体的自缩聚反应,并通过优化发现BiCl是一种优异的催化剂。BiCl的催化活性和价格与BuSnO相当,但其毒性显著较低。因此,在非异氰酸酯聚氨酯合成中,BiCl是锡基催化剂的一种有前景的替代品。