Swain Ashirbad, Palani Vignesh, Francis Sigil, Thomas Benedict, Roy Tarapada
School of Mechanical Engineering, Vellore Institute of Technology, Vellore, Tamil Nadu, 632014, India.
Department of Mechanical Engineering, National Institute of Technology, Rourkela, Odisha, 769008, India.
Discov Nano. 2024 Apr 30;19(1):74. doi: 10.1186/s11671-024-04009-5.
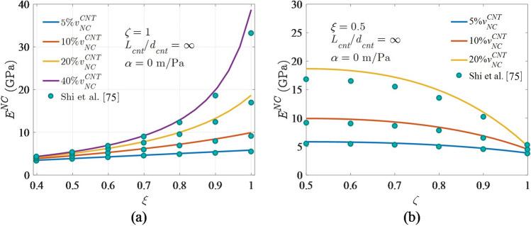
Carbon nanotube (CNT) has fostered research as a promising nanomaterial for a variety of applications due to its exceptional mechanical, optical, and electrical characteristics. The present article proposes a novel and comprehensive micromechanical framework to assess the viscoelastic properties of a multiscale CNT-reinforced two-dimensional (2D) woven hybrid composite. It also focuses on demonstrating the utilisation of the proposed micromechanics in the dynamic analysis of shell structure. First, the detailed constructional attributes of the proposed trans-scale composite material system are described in detail. Then, according to the nature of the constructional feature, mathematical modelling of each constituent phase or building block's material properties is established to evaluate the homogenised viscoelastic properties of the proposed composite material system. To highlight the novelty of this study, the viscoelastic characteristics of the modified matrix are developed using the micromechanics method of Mori-Tanaka (MT) in combination with the weak viscoelastic interphase (WI) theory. In the entire micromechanical framework, the CNTs are considered to be randomly oriented. The strength of the material (SOM) approach is used to establish mathematical frameworks for the viscoelastic characteristics of yarns, whereas the unit cell method (UCM) is used to determine the viscoelastic properties of the representative unit cell (RUC). Different numerical results have been obtained by varying the CNT composition, interface conditions, agglomeration, carbon fibre volume percentage, excitation frequency, and temperature. The influences of geometrical parameters like yarn thickness, width, and the gap length to yarn width ratio on the viscoelasticity of such composite material systems are also explored. The current study also addresses the issue of resultant anisotropic viscoelastic properties due to the use of dissimilar yarn thickness. The results of this micromechanical analysis provide valuable insights into the viscoelastic properties of the proposed composite material system and suggest its potential applications in vibration damping. To demonstrate the application of developed novel micromechanics in vibration analysis, as one of the main contributions, comprehensive numerical experiments are conducted on a shell panel. The results show a significant reduction in vibration amplitudes compared to traditional composite materials in the frequency response and transient response analyses. To focus on the aspect of micromechanical behaviour on dynamic response and for the purpose of brevity, only linear strain displacement relationships are considered for dynamic analysis. These insights could inform future research and development in the field of composite materials.
碳纳米管(CNT)因其卓越的机械、光学和电学特性,作为一种有前途的纳米材料推动了诸多应用领域的研究。本文提出了一种新颖且全面的微观力学框架,用于评估多尺度碳纳米管增强二维(2D)编织混杂复合材料的粘弹性性能。它还着重展示了所提出的微观力学在壳结构动力学分析中的应用。首先,详细描述了所提出的跨尺度复合材料系统的具体结构属性。然后,根据结构特征的性质,建立各组成相或构建块材料性能的数学模型,以评估所提出的复合材料系统的均匀化粘弹性性能。为突出本研究的新颖性,采用森田(MT)微观力学方法结合弱粘弹性界面(WI)理论来推导改性基体的粘弹性特性。在整个微观力学框架中,碳纳米管被视为随机取向。采用材料强度(SOM)方法建立纱线粘弹性特性的数学框架,而采用单胞法(UCM)来确定代表性单胞(RUC)的粘弹性性能。通过改变碳纳米管组成、界面条件、团聚、碳纤维体积百分比、激励频率和温度,获得了不同的数值结果。还探讨了诸如纱线厚度、宽度以及间隙长度与纱线宽度比等几何参数对这种复合材料系统粘弹性的影响。当前研究还解决了由于使用不同纱线厚度而导致的各向异性粘弹性性能问题。这种微观力学分析的结果为所提出的复合材料系统的粘弹性性能提供了有价值的见解,并表明了其在减振方面的潜在应用。为展示所开发的新型微观力学在振动分析中的应用,作为主要贡献之一,在壳板上进行了全面的数值实验。结果表明,在频率响应和瞬态响应分析中,与传统复合材料相比,振动幅度显著降低。为专注于动态响应的微观力学行为方面且为简洁起见,动态分析仅考虑线性应变位移关系。这些见解可为复合材料领域的未来研究与开发提供参考。