Suppr超能文献

盐酸二甲胺四环素治疗精神分裂症的疗效和安全性:一项随机临床试验。

Efficacy and Safety of Xanomeline-Trospium Chloride in Schizophrenia: A Randomized Clinical Trial.

机构信息

Karuna Therapeutics, Boston, Massachusetts.

CenExel, Garden Grove, California.

出版信息

JAMA Psychiatry. 2024 Aug 1;81(8):749-756. doi: 10.1001/jamapsychiatry.2024.0785.

Abstract

IMPORTANCE

A significant need exists for new antipsychotic medications with different mechanisms of action, greater efficacy, and better tolerability than existing agents. Xanomeline is a dual M1/M4 preferring muscarinic receptor agonist with no direct D2 dopamine receptor blocking activity. KarXT combines xanomeline with the peripheral muscarinic receptor antagonist trospium chloride with the goal of reducing adverse events due to xanomeline-related peripheral muscarinic receptor activation. In prior trials, xanomeline-trospium chloride was effective in reducing symptoms of psychosis and generally well tolerated in people with schizophrenia.

OBJECTIVE

To evaluate the efficacy and safety of xanomeline-trospium vs placebo in adults with schizophrenia.

DESIGN, SETTING, AND PARTICIPANTS: EMERGENT-3 (NCT04738123) was a phase 3, multicenter, randomized, double-blind, placebo-controlled, 5-week trial of xanomeline-trospium in people with schizophrenia experiencing acute psychosis, conducted between April 1, 2021, and December 7, 2022, at 30 inpatient sites in the US and Ukraine. Data were analyzed from February to June 2023.

INTERVENTIONS

Participants were randomized 1:1 to receive xanomeline-trospium chloride (maximum dose xanomeline 125 mg/trospium 30 mg) or placebo for 5 weeks.

MAIN OUTCOMES AND MEASURES

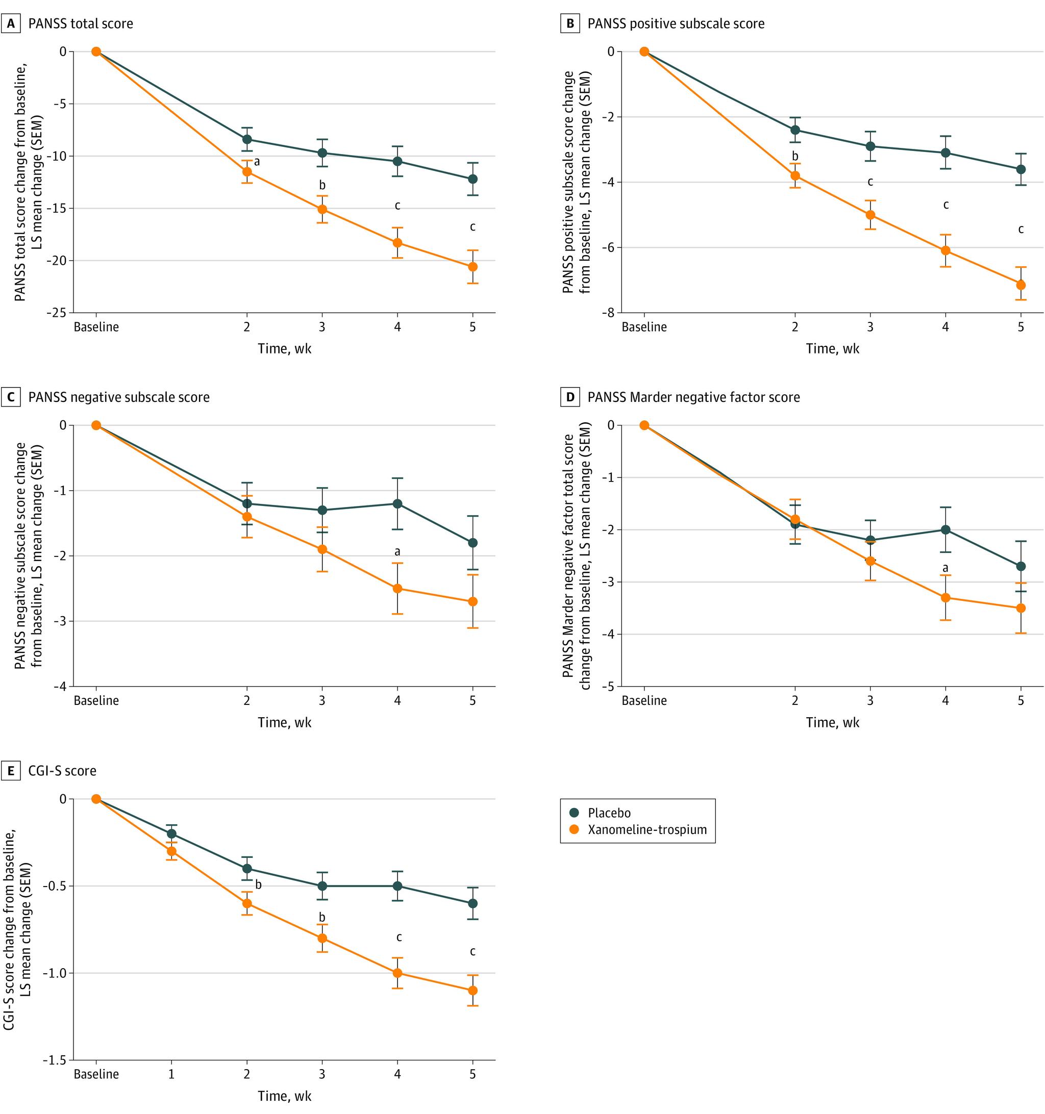
The prespecified primary end point was change from baseline to week 5 in Positive and Negative Syndrome Scale (PANSS) total score. Secondary outcome measures were change from baseline to week 5 in PANSS positive subscale score, PANSS negative subscale score, PANSS Marder negative factor score, Clinical Global Impression-Severity score, and proportion of participants with at least a 30% reduction in PANSS total score. Safety and tolerability were also evaluated.

RESULTS

A total of 256 participants (mean [SD] age, 43.1 [11.8] years; 191 men [74.6%]; 156 of 256 participants [60.9%] were Black or African American, 98 [38.3%] were White, and 1 [0.4%] was Asian) were randomized (125 in xanomeline-trospium group and 131 in placebo group). At week 5, xanomeline-trospium significantly reduced PANSS total score compared with placebo (xanomeline-trospium , -20.6; placebo, -12.2; least squares mean difference, -8.4; 95% CI, -12.4 to -4.3; P < .001; Cohen d effect size, 0.60). Discontinuation rates due to treatment-emergent adverse events (TEAEs) were similar between the xanomeline-trospium (8 participants [6.4%]) and placebo (7 participants [5.5%]) groups. The most common TEAEs in the xanomeline-trospium vs placebo group were nausea (24 participants [19.2%] vs 2 participants [1.6%]), dyspepsia (20 participants [16.0%] vs 2 participants [1.6%]), vomiting (20 participants [16.0%] vs 1 participant [0.8%]), and constipation (16 participants [12.8%] vs 5 participants [3.9%]). Measures of extrapyramidal symptoms, weight gain, and somnolence were similar between treatment groups.

CONCLUSIONS AND RELEVANCE

Xanomeline-trospium was efficacious and well tolerated in people with schizophrenia experiencing acute psychosis. These findings, together with the previously reported and consistent results from the EMERGENT-1 and EMERGENT-2 trials, support the potential of xanomeline-trospium to be the first in a putative new class of antipsychotic medications without D2 dopamine receptor blocking activity.

TRIAL REGISTRATION

ClinicalTrials.gov Identifier: NCT04738123.

摘要

重要性

需要新的具有不同作用机制、更高疗效和更好耐受性的抗精神病药物,优于现有药物。Xanomeline 是一种具有 M1/M4 受体选择性的毒蕈碱受体激动剂,没有直接的 D2 多巴胺受体阻断活性。KarXT 将 xanomeline 与外周毒蕈碱受体拮抗剂托吡酯结合,旨在减少 xanomeline 相关外周毒蕈碱受体激活引起的不良反应。在之前的试验中,xanomeline-trospium 氯在减少精神分裂症患者的精神病症状方面有效,且总体耐受性良好。

目的

评估 xanomeline-trospium 与安慰剂在精神分裂症成人中的疗效和安全性。

设计、地点和参与者:EMERGENT-3(NCT04738123)是一项为期 5 周的多中心、随机、双盲、安慰剂对照的 xanomeline-trospium 氯治疗急性精神病精神分裂症患者的 3 期试验,于 2021 年 4 月 1 日至 2022 年 12 月 7 日在 30 个美国和乌克兰的住院地点进行。数据分析于 2023 年 2 月至 6 月进行。

干预措施

参与者以 1:1 的比例随机接受 xanomeline-trospium 氯(最大剂量 xanomeline 125mg/trospium 30mg)或安慰剂治疗 5 周。

主要终点和次要终点

主要终点是从基线到第 5 周时阳性和阴性综合征量表(PANSS)总分的变化。次要终点是从基线到第 5 周时 PANSS 阳性子量表评分、PANSS 阴性子量表评分、PANSS Marder 阴性因子评分、临床总体印象严重程度评分以及至少 30% PANSS 总分降低的参与者比例。还评估了安全性和耐受性。

结果

共有 256 名参与者(平均[SD]年龄 43.1[11.8]岁;191 名男性[74.6%];256 名参与者中,156 名[60.9%]为黑种人或非裔美国人,98 名[38.3%]为白人,1 名[0.4%]为亚洲人)被随机分配(xanomeline-trospium 组 125 名,安慰剂组 131 名)。第 5 周时,与安慰剂相比,xanomeline-trospium 氯显著降低了 PANSS 总分(xanomeline-trospium 组,-20.6;安慰剂组,-12.2;最小二乘均数差,-8.4;95%CI,-12.4 至-4.3;P < .001;Cohen d 效应大小,0.60)。因治疗引起的不良事件(TEAEs)而停药的发生率在 xanomeline-trospium 组(8 名[6.4%])和安慰剂组(7 名[5.5%])之间相似。xanomeline-trospium 组与安慰剂组相比,最常见的 TEAEs 是恶心(24 名[19.2%]与 2 名[1.6%])、消化不良(20 名[16.0%]与 2 名[1.6%])、呕吐(20 名[16.0%]与 1 名[0.8%])和便秘(16 名[12.8%]与 5 名[3.9%])。锥体外系症状、体重增加和嗜睡的测量值在治疗组之间相似。

结论和相关性

在急性精神病精神分裂症患者中,xanomeline-trospium 氯有效且耐受性良好。这些发现,加上之前报道的和来自 EMERGENT-1 和 EMERGENT-2 试验的一致结果,支持 xanomeline-trospium 可能成为具有非 D2 多巴胺受体阻断活性的新型抗精神病药物的潜在候选药物。

试验注册

ClinicalTrials.gov 标识符:NCT04738123。

https://cdn.ncbi.nlm.nih.gov/pmc/blobs/af76/11063924/7fbd0ee02206/jamapsychiatry-e240785-g001.jpg

文献AI研究员

20分钟写一篇综述,助力文献阅读效率提升50倍。

立即体验

用中文搜PubMed

大模型驱动的PubMed中文搜索引擎

马上搜索

文档翻译

学术文献翻译模型,支持多种主流文档格式。

立即体验