• 文献检索
  • 文档翻译
  • 深度研究
  • 学术资讯
  • Suppr Zotero 插件Zotero 插件
  • 邀请有礼
  • 套餐&价格
  • 历史记录
应用&插件
Suppr Zotero 插件Zotero 插件浏览器插件Mac 客户端Windows 客户端微信小程序
定价
高级版会员购买积分包购买API积分包
服务
文献检索文档翻译深度研究API 文档MCP 服务
关于我们
关于 Suppr公司介绍联系我们用户协议隐私条款
关注我们

Suppr 超能文献

核心技术专利:CN118964589B侵权必究
粤ICP备2023148730 号-1Suppr @ 2026

文献检索

告别复杂PubMed语法,用中文像聊天一样搜索,搜遍4000万医学文献。AI智能推荐,让科研检索更轻松。

立即免费搜索

文件翻译

保留排版,准确专业,支持PDF/Word/PPT等文件格式,支持 12+语言互译。

免费翻译文档

深度研究

AI帮你快速写综述,25分钟生成高质量综述,智能提取关键信息,辅助科研写作。

立即免费体验

他克莫司治疗窗浓度以下与急性胰腺移植物排斥和供体特异性抗体的产生有关。

Tacrolimus's Time Below Therapeutic Range Is Associated With Acute Pancreatic Graft Rejection and the Development of Donor-specific Antibodies.

机构信息

Department of Nephrology and Renal Transplantation, Hospital Clínic de Barcelona, Barcelona, Spain.

Laboratori Experimental de Nefrologia I Trasplantament (LENIT), Institut d'Investigacions Biomèdiques August Pi i Sunyer (IDIBAPS), Barcelona, Spain.

出版信息

Transpl Int. 2024 Apr 17;37:12591. doi: 10.3389/ti.2024.12591. eCollection 2024.

DOI:10.3389/ti.2024.12591
PMID:38694489
原文链接:https://pmc.ncbi.nlm.nih.gov/articles/PMC11062183/
Abstract

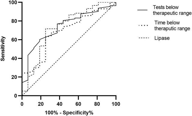
Tacrolimus is pivotal in pancreas transplants but poses challenges in maintaining optimal levels due to recipient differences. This study aimed to explore the utility of time spent below the therapeutic range and intrapatient variability in predicting rejection and donor-specific antibody (dnDSA) development in pancreas graft recipients. This retrospective unicentric study included adult pancreas transplant recipients between January 2006 and July 2020. Recorded variables included demographics, immunosuppression details, HLA matching, biopsy results, dnDSA development, and clinical parameters. Statistical analysis included ROC curves, sensitivity, specificity, and predictive values. A total of 131 patients were included. Those with biopsy-proven acute rejection (BPAR, 12.2%) had more time (39.9% ± 24% vs. 25.72% ± 21.57%, = 0.016) and tests (41.95% ± 13.57% vs. 29.96% ± 17.33%, = 0.009) below therapeutic range. Specific cutoffs of 31.5% for time and 34% for tests below the therapeutic range showed a high negative predictive value for BPAR (93.98% and 93.1%, respectively). Similarly, patients with more than 34% of tests below the therapeutic range were associated with dnDSA appearance (38.9% vs. 9.4%, = 0.012; OR 6.135, 1.346-27.78). In pancreas transplantation, maintaining optimal tacrolimus levels is crucial. Suboptimal test percentages below the therapeutic range prove valuable in identifying acute graft rejection risk.

摘要

他克莫司在胰腺移植中至关重要,但由于受者的差异,维持最佳水平具有挑战性。本研究旨在探讨治疗窗以下时间和患者内变异性在预测胰腺移植物受者排斥反应和供体特异性抗体(dnDSA)发展中的作用。这项回顾性单中心研究纳入了 2006 年 1 月至 2020 年 7 月期间的成年胰腺移植受者。记录的变量包括人口统计学、免疫抑制细节、HLA 匹配、活检结果、dnDSA 发展和临床参数。统计分析包括 ROC 曲线、敏感性、特异性和预测值。共纳入 131 例患者。活检证实为急性排斥反应(BPAR,12.2%)的患者有更多的时间(39.9%±24%比 25.72%±21.57%, = 0.016)和测试(41.95%±13.57%比 29.96%±17.33%, = 0.009)低于治疗范围。时间和测试低于治疗范围的特定截止值为 31.5%和 34%,BPAR 的阴性预测值较高(分别为 93.98%和 93.1%)。同样,有超过 34%的测试低于治疗范围的患者与 dnDSA 出现相关(38.9%比 9.4%, = 0.012;OR 6.135,1.346-27.78)。在胰腺移植中,维持最佳他克莫司水平至关重要。低于治疗范围的测试百分比不理想可有效识别急性移植物排斥反应风险。

https://cdn.ncbi.nlm.nih.gov/pmc/blobs/119c/11062183/b8d38c73c27b/ti-37-12591-g002.jpg
https://cdn.ncbi.nlm.nih.gov/pmc/blobs/119c/11062183/23af35a58ef8/ti-37-12591-g001.jpg
https://cdn.ncbi.nlm.nih.gov/pmc/blobs/119c/11062183/b8d38c73c27b/ti-37-12591-g002.jpg
https://cdn.ncbi.nlm.nih.gov/pmc/blobs/119c/11062183/23af35a58ef8/ti-37-12591-g001.jpg
https://cdn.ncbi.nlm.nih.gov/pmc/blobs/119c/11062183/b8d38c73c27b/ti-37-12591-g002.jpg

相似文献

1
Tacrolimus's Time Below Therapeutic Range Is Associated With Acute Pancreatic Graft Rejection and the Development of Donor-specific Antibodies.他克莫司治疗窗浓度以下与急性胰腺移植物排斥和供体特异性抗体的产生有关。
Transpl Int. 2024 Apr 17;37:12591. doi: 10.3389/ti.2024.12591. eCollection 2024.
2
Sex and gender as predictors for allograft and patient-relevant outcomes after kidney transplantation.性别作为肾移植后同种异体移植及患者相关预后的预测因素。
Cochrane Database Syst Rev. 2024 Dec 19;12(12):CD014966. doi: 10.1002/14651858.CD014966.pub2.
3
A systematic review and economic model of the clinical and cost-effectiveness of immunosuppressive therapy for renal transplantation in children.儿童肾移植免疫抑制治疗的临床及成本效益的系统评价与经济学模型
Health Technol Assess. 2006 Dec;10(49):iii-iv, ix-xi, 1-157. doi: 10.3310/hta10490.
4
Persistent versus resolved donor-specific antibodies predict 10-year antibody-mediated rejection and kidney transplant outcomes in Thailand.持续性与已消失的供体特异性抗体可预测泰国10年抗体介导的排斥反应及肾移植结局。
Sci Rep. 2025 Jul 1;15(1):21538. doi: 10.1038/s41598-025-07681-4.
5
Polyclonal and monoclonal antibodies for treating acute rejection episodes in kidney transplant recipients.用于治疗肾移植受者急性排斥反应的多克隆抗体和单克隆抗体。
Cochrane Database Syst Rev. 2017 Jul 20;7(7):CD004756. doi: 10.1002/14651858.CD004756.pub4.
6
Clinical and cost-effectiveness of newer immunosuppressive regimens in renal transplantation: a systematic review and modelling study.肾移植中新型免疫抑制方案的临床疗效与成本效益:一项系统评价与模型研究
Health Technol Assess. 2005 May;9(21):1-179, iii-iv. doi: 10.3310/hta9210.
7
Donor-derived cell-free DNA monitoring for early diagnosis of antibody-mediated rejection after kidney transplantation: a randomized trial.供体来源的游离DNA监测用于肾移植后抗体介导排斥反应的早期诊断:一项随机试验
Nephrol Dial Transplant. 2024 Nov 29. doi: 10.1093/ndt/gfae282.
8
A network meta-analysis of the efficacy of belatacept, cyclosporine and tacrolimus for immunosuppression therapy in adult renal transplant recipients.贝拉西普、环孢素和他克莫司在成人肾移植受者免疫抑制治疗中疗效的网络荟萃分析。
Curr Med Res Opin. 2014 Aug;30(8):1473-87. doi: 10.1185/03007995.2014.898140. Epub 2014 Apr 3.
9
High-Risk HLA-DQ Mismatches Are Associated With Adverse Outcomes After Lung Transplantation.高危 HLA-DQ 错配与肺移植后不良结局相关。
Transpl Int. 2024 Sep 19;37:13010. doi: 10.3389/ti.2024.13010. eCollection 2024.
10
Donor-derived cell-free DNA testing in pediatric kidney transplant recipients: indications and clinical utility.小儿肾移植受者中供体来源的游离DNA检测:适应证及临床应用价值
Pediatr Nephrol. 2025 Apr 14. doi: 10.1007/s00467-025-06770-w.

引用本文的文献

1
Correlation of renal function with intra-patient variability of tacrolimus concentration among recipients of renal transplants: a 10-year study.肾移植受者中肾功能与他克莫司浓度的患者内变异性的相关性:一项为期10年的研究。
Transl Androl Urol. 2025 Feb 28;14(2):220-227. doi: 10.21037/tau-24-564. Epub 2025 Feb 25.
2
Calcineurin inhibition may prevent Alzheimer disease in people with Down syndrome.抑制钙调神经磷酸酶可能预防唐氏综合征患者患阿尔茨海默病。
Alzheimers Dement. 2025 Mar;21(3):e70034. doi: 10.1002/alz.70034.

本文引用的文献

1
OPTN/SRTR 2021 Annual Data Report: Pancreas.OPTN/SRTR 2021 年度数据报告:胰腺。
Am J Transplant. 2023 Feb;23(2 Suppl 1):S121-S177. doi: 10.1016/j.ajt.2023.02.005.
2
Patient and graft survival in pancreas transplant recipients: The EFISPAN study.胰腺移植受者的患者和移植物存活率:EFISPAN 研究。
Nefrologia (Engl Ed). 2023 Jan-Feb;43(1):133-143. doi: 10.1016/j.nefroe.2022.11.019. Epub 2022 Dec 7.
3
Consensus recommendations for use of maintenance immunosuppression in solid organ transplantation: Endorsed by the American College of Clinical Pharmacy, American Society of Transplantation, and International Society for Heart and Lung Transplantation: An executive summary.
实体器官移植中维持性免疫抑制应用的共识建议:得到了美国临床药学学院、美国移植学会和国际心肺移植学会的认可:执行摘要。
Pharmacotherapy. 2022 Aug;42(8):594-598. doi: 10.1002/phar.2718.
4
Donor-derived Cell-free DNA Shows High Sensitivity for the Diagnosis of Pancreas Graft Rejection in Simultaneous Pancreas-kidney Transplantation.供者游离 DNA 对胰肾联合移植后排斥反应的诊断具有高灵敏度。
Transplantation. 2022 Aug 1;106(8):1690-1697. doi: 10.1097/TP.0000000000004088. Epub 2022 Mar 14.
5
The Role of Intra-Patient Variability of Tacrolimus Drug Concentrations in Solid Organ Transplantation: A Focus on Liver, Heart, Lung and Pancreas.他克莫司药物浓度的患者内变异性在实体器官移植中的作用:聚焦于肝脏、心脏、肺和胰腺
Pharmaceutics. 2022 Feb 8;14(2):379. doi: 10.3390/pharmaceutics14020379.
6
Tacrolimus time in therapeutic range and long-term outcomes in heart transplant recipients.他克莫司在心脏移植受者中的治疗窗时间及长期预后
Pharmacotherapy. 2022 Feb;42(2):106-111. doi: 10.1002/phar.2653. Epub 2021 Dec 20.
7
Early Monitoring and Subsequent Gain of Tacrolimus Time-In-Therapeutic Range May Improve Clinical Outcomes After Living Kidney Transplantation.早期监测和随后获得他克莫司治疗窗时间可能改善活体肾移植后的临床结局。
Ther Drug Monit. 2021 Dec 1;43(6):728-735. doi: 10.1097/FTD.0000000000000881.
8
First World Consensus Conference on pancreas transplantation: Part II - recommendations.第一届世界胰腺移植共识会议:第二部分 - 建议。
Am J Transplant. 2021 Sep;21 Suppl 3(Suppl 3):17-59. doi: 10.1111/ajt.16750. Epub 2021 Jul 29.
9
Impacts of High Intra- and Inter-Individual Variability in Tacrolimus Pharmacokinetics and Fast Tacrolimus Metabolism on Outcomes of Solid Organ Transplant Recipients.他克莫司药代动力学的高个体内和个体间变异性以及他克莫司快速代谢对实体器官移植受者结局的影响
J Clin Med. 2020 Jul 11;9(7):2193. doi: 10.3390/jcm9072193.
10
Time in the Therapeutic Range (TTR): An Overly Simplified Conundrum.治疗范围内时间(TTR):一个过度简化的难题。
J Innov Card Rhythm Manag. 2017 Mar 15;8(3):2643-2646. doi: 10.19102/icrm.2017.080302. eCollection 2017 Mar.