Suppr超能文献

合成代谢药物与双膦酸盐治疗骨质疏松性椎体骨折患者的临床疗效比较:随机对照试验的系统评价与Meta分析

Comparison of the Clinical Efficacy of Anabolic Agents and Bisphosphonates in the Patients With Osteoporotic Vertebral Fracture: Systematic Review and Meta-analysis of Randomized Controlled Trials.

作者信息

Jeon Ikchan, Park Sung Bae, Moon Bong Ju, Choi Miyoung, Kuh Sung Uk, Kim Jongtae

机构信息

Department of Neurosurgery, Yeungnam University Hospital, Yeungnam University College of Medicine, Daegu, Korea.

Department of Neurosurgery, Seoul Metropolitan Government-Seoul National University Boramae Medical Center, Seoul National University College of Medicine, Seoul, Korea.

出版信息

Neurospine. 2024 Jun;21(2):416-429. doi: 10.14245/ns.2347256.628. Epub 2024 May 2.

Abstract

OBJECTIVE

We investigated the clinical efficacy of anabolic agents compared with bisphosphonates (BPs) for the incidence of new osteoporotic vertebral fracture (OVF) and fracture healing of OVF in the patients with OVF via meta-analyses of randomized controlled trials (RCTs).

METHODS

Electronic databases, including PubMed, Embase, and Cochrane Library were searched for published RCTs till December 2022. The RCTs that recruited participants with osteoporosis at high-/very high-risk of fracture (a history of osteoporotic vertebral or hip fracture) or fresh OVF were included in this study. We assessed the risk of bias on every included RCTs, estimated relative risk (RR) for the incidence of new OVF and fracture healing of OVF, and overall certainty of evidence. Meta-analyses were performed by Cochrane review manager (RevMan) ver. 5.3. Cochrane risk of bias 2.0 and GRADEpro/GDT were applied for evaluating methodological quality and overall certainty of evidence, respectively.

RESULTS

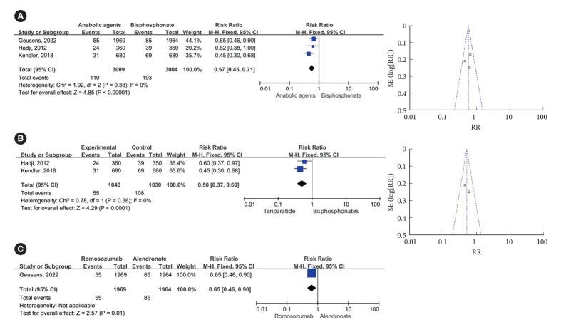
Five hundred eighteen studies were screened, and finally 6 eligible RCTs were included in the analysis. In the patients with prevalent OVF, anabolic agents significantly reduced the incidence of new OVF (teriparatide and romosozumab vs. alendronate and risedronate [RR, 0.57; 95% confidence interval, 0.45-0.71; p < 0.00001; high-certainty of evidence]; teriparatide vs. risedronate [RR, 0.50; 95% confidence interval, 0.37-0.68; p < 0.0001; high-certainty of evidence]). However, there was no evidence of teriparatide compared to alendronate in fracture healing of OVF (RR, 1.23; 95% confidence interval, 0.95-1.60; p = 0.12; low-certainty of evidence).

CONCLUSION

In the patients with prevalent OVF, anabolic agents showed a significant superiority for preventing new OVF than BPs, with no significant evidence for promoting fracture healing of OVF. However, considering small number of RCTs in this study, additional studies with large-scale data are required to obtain more robust evidences.

摘要

目的

通过对随机对照试验(RCT)的荟萃分析,我们比较了合成代谢药物与双膦酸盐(BPs)在骨质疏松性椎体骨折(OVF)患者中预防新的骨质疏松性椎体骨折(OVF)发生率及促进OVF骨折愈合方面的临床疗效。

方法

检索包括PubMed、Embase和Cochrane图书馆在内的电子数据库,以查找截至2022年12月发表的RCT。纳入本研究的RCT招募的参与者为骨折高/极高风险的骨质疏松症患者(有骨质疏松性椎体或髋部骨折病史)或新鲜OVF患者。我们评估了每项纳入RCT的偏倚风险,估计了新OVF发生率和OVF骨折愈合的相对风险(RR)以及证据的总体确定性。使用Cochrane综述管理器(RevMan)5.3版进行荟萃分析。分别应用Cochrane偏倚风险2.0和GRADEpro/GDT评估方法学质量和证据的总体确定性。

结果

筛选了518项研究,最终6项符合条件的RCT纳入分析。在患有现患OVF的患者中,合成代谢药物显著降低了新OVF的发生率(特立帕肽和罗莫佐单抗与阿仑膦酸钠和利塞膦酸钠相比[RR,0.57;95%置信区间,0.45 - 0.71;p < 0.00001;高确定性证据];特立帕肽与利塞膦酸钠相比[RR,0.50;95%置信区间,0.37 - 0.68;p < 0.0001;高确定性证据])。然而,与阿仑膦酸钠相比,没有证据表明特立帕肽在促进OVF骨折愈合方面有作用(RR,1.23;95%置信区间,0.95 - 1.60;p = 0.12;低确定性证据)。

结论

在患有现患OVF的患者中,合成代谢药物在预防新的OVF方面比BPs显示出显著优势,但在促进OVF骨折愈合方面没有显著证据。然而,考虑到本研究中RCT数量较少,需要更多大规模数据的研究来获得更有力的证据。

https://cdn.ncbi.nlm.nih.gov/pmc/blobs/1c9e/11224729/9b6fac8dd662/ns-2347256-628f1.jpg

文献AI研究员

20分钟写一篇综述,助力文献阅读效率提升50倍。

立即体验

用中文搜PubMed

大模型驱动的PubMed中文搜索引擎

马上搜索

文档翻译

学术文献翻译模型,支持多种主流文档格式。

立即体验