Xing Le-Yao, Meng Guan-Han, Yang Ji-Xian, Xu Ming-Han, Xu Yi-Ming, Xie Hai-Xiao, Wang Ai-Jie, Sun Yi-Lu
State Key Laboratory of Urban Water Resource and Environment, School of Environment, Harbin Institute of Technology, Harbin, 150090, China.
Hangzhou Yanqu Information Technology Co., Ltd. Y2, Hangzhou, 310003, China.
Environ Sci Ecotechnol. 2024 Apr 20;21:100422. doi: 10.1016/j.ese.2024.100422. eCollection 2024 Sep.
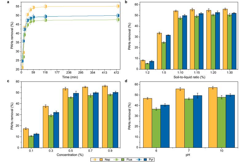
Remediating soil contaminated with polycyclic aromatic hydrocarbons (PAHs) presents a significant environmental challenge due to their toxic and carcinogenic properties. Traditional PAHs remediation methods-chemical, thermal, and bioremediation-along with conventional soil-washing agents like surfactants and cyclodextrins face challenges of cost, ecological harm, and inefficiency. Here we show an effective and environmentally friendly calixarene derivative for PAHs removal through soil washing. Thiacalix[4]arene tetrasulfonate (TCAS) has a unique molecular structure of a sulfonate group and a sulfur atom, which enhances its solubility and facilitates selective binding with PAHs. It forms host-guest complexes with PAHs through π-π stacking, OH-π interactions, hydrogen bonding, van der Waals forces, and electrostatic interactions. These interactions enable partial encapsulation of PAH molecules, aiding their desorption from the soil matrix. Our results show that a 0.7% solution of TCAS can extract approximately 50% of PAHs from contaminated soil while preserving soil nutrients and minimizing adverse environmental effects. This research unveils the pioneering application of TCAS in removing PAHs from contaminated soil, marking a transformative advancement in resource-efficient and sustainable soil remediation strategies.
修复受多环芳烃(PAHs)污染的土壤是一项重大的环境挑战,因为它们具有毒性和致癌性。传统的PAHs修复方法——化学、热和生物修复——以及传统的土壤清洗剂,如表面活性剂和环糊精,面临着成本、生态危害和效率低下的挑战。在这里,我们展示了一种通过土壤清洗去除PAHs的有效且环保的杯芳烃衍生物。硫代杯[4]芳烃四磺酸盐(TCAS)具有独特的磺酸基团和硫原子分子结构,这增强了其溶解性,并促进了与PAHs的选择性结合。它通过π-π堆积、OH-π相互作用、氢键、范德华力和静电相互作用与PAHs形成主客体复合物。这些相互作用使得PAH分子能够部分被包裹,有助于它们从土壤基质中解吸。我们的结果表明,0.7%的TCAS溶液可以从受污染的土壤中提取大约50%的PAHs,同时保留土壤养分并将对环境的不利影响降至最低。这项研究揭示了TCAS在从受污染土壤中去除PAHs方面的开创性应用,标志着资源高效和可持续土壤修复策略的变革性进展。