Suppr超能文献

主观认知衰退中扣带回下部加速老化的扩散成像标志物

Diffusion imaging markers of accelerated aging of the lower cingulum in subjective cognitive decline.

作者信息

Flaherty Ryn, Sui Yu Veronica, Masurkar Arjun V, Betensky Rebecca A, Rusinek Henry, Lazar Mariana

机构信息

Center for Advanced Imaging Innovation and Research, Department of Radiology, New York University Grossman School of Medicine, New York, NY, United States.

Vilcek Institute of Graduate Biomedical Sciences, New York University Grossman School of Medicine, New York, NY, United States.

出版信息

Front Neurol. 2024 May 9;15:1360273. doi: 10.3389/fneur.2024.1360273. eCollection 2024.

Abstract

INTRODUCTION

Alzheimer's Disease (AD) typically starts in the medial temporal lobe, then develops into a neurodegenerative cascade which spreads to other brain regions. People with subjective cognitive decline (SCD) are more likely to develop dementia, especially in the presence of amyloid pathology. Thus, we were interested in the white matter microstructure of the medial temporal lobe in SCD, specifically the lower cingulum bundle that leads into the hippocampus. Diffusion tensor imaging (DTI) has been shown to differentiate SCD participants who will progress to mild cognitive impairment from those who will not. However, the biology underlying these DTI metrics is unclear, and results in the medial temporal lobe have been inconsistent.

METHODS

To better characterize the microstructure of this region, we applied DTI to cognitively normal participants in the Cam-CAN database over the age of 55 with cognitive testing and diffusion MRI available ( = 325, 127 SCD). Diffusion MRI was processed to generate regional and voxel-wise diffusion tensor values in bilateral lower cingulum white matter, while T1-weighted MRI was processed to generate regional volume and cortical thickness in the medial temporal lobe white matter, entorhinal cortex, temporal pole, and hippocampus.

RESULTS

SCD participants had thinner cortex in bilateral entorhinal cortex and right temporal pole. No between-group differences were noted for any of the microstructural metrics of the lower cingulum. However, correlations with delayed story recall were significant for all diffusion microstructure metrics in the right lower cingulum in SCD, but not in controls, with a significant interaction effect. Additionally, the SCD group showed an accelerated aging effect in bilateral lower cingulum with MD, AxD, and RD.

DISCUSSION

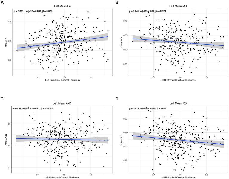
The diffusion profiles observed in both interaction effects are suggestive of a mixed neuroinflammatory and neurodegenerative pathology. Left entorhinal cortical thinning correlated with decreased FA and increased RD, suggestive of demyelination. However, right entorhinal cortical thinning also correlated with increased AxD, suggestive of a mixed pathology. This may reflect combined pathologies implicated in early AD. DTI was more sensitive than cortical thickness to the associations between SCD, memory, and age. The combined effects of mixed pathology may increase the sensitivity of DTI metrics to variations with age and cognition.

摘要

引言

阿尔茨海默病(AD)通常始于内侧颞叶,然后发展为一种神经退行性级联反应,并扩散到其他脑区。主观认知衰退(SCD)患者更易患痴呆症,尤其是在存在淀粉样蛋白病理的情况下。因此,我们对SCD患者内侧颞叶的白质微观结构感兴趣,特别是通向海马体的下扣带束。扩散张量成像(DTI)已被证明能够区分将进展为轻度认知障碍的SCD参与者和不会进展的参与者。然而,这些DTI指标背后的生物学机制尚不清楚,且在内侧颞叶的研究结果并不一致。

方法

为了更好地表征该区域的微观结构,我们对Cam-CAN数据库中55岁以上认知正常且有认知测试和扩散MRI数据的参与者(n = 325,127名SCD患者)应用了DTI。对扩散MRI进行处理,以生成双侧下扣带白质的区域和体素级扩散张量值,同时对T1加权MRI进行处理,以生成内侧颞叶白质、内嗅皮质、颞极和海马体的区域体积和皮质厚度。

结果

SCD参与者双侧内嗅皮质和右侧颞极的皮质较薄。下扣带的任何微观结构指标在组间均未观察到差异。然而,SCD患者右侧下扣带中所有扩散微观结构指标与延迟故事回忆的相关性显著,但在对照组中不显著,存在显著的交互作用。此外,SCD组在双侧下扣带的平均扩散率(MD)、轴向扩散率(AxD)和径向扩散率(RD)方面显示出加速衰老效应。

讨论

在两种交互作用中观察到的扩散特征提示存在混合性神经炎症和神经退行性病理。左侧内嗅皮质变薄与分数各向异性(FA)降低和RD增加相关,提示脱髓鞘。然而,右侧内嗅皮质变薄也与AxD增加相关,提示存在混合性病理。这可能反映了早期AD中涉及的多种病理。DTI在SCD、记忆和年龄之间的关联方面比皮质厚度更敏感。混合性病理的综合作用可能会增加DTI指标对年龄和认知变化的敏感性。

https://cdn.ncbi.nlm.nih.gov/pmc/blobs/0686/11111894/21c7a361af23/fneur-15-1360273-g001.jpg

文献AI研究员

20分钟写一篇综述,助力文献阅读效率提升50倍。

立即体验

用中文搜PubMed

大模型驱动的PubMed中文搜索引擎

马上搜索

文档翻译

学术文献翻译模型,支持多种主流文档格式。

立即体验