Suppr超能文献

基因沉默揭示了其在真菌黏附、毒力及宿主-真菌相互作用中的作用。 (注:原英文标题似乎不完整,推测是某个基因相关的研究,这里是按照完整句子意思翻译的。)

Silencing of Reveals Its Contribution to Fungal Adhesion, Virulence, and the Host-Fungus Interaction.

作者信息

López-Ramírez Luz A, Martínez-Álvarez José A, Martínez-Duncker Iván, Lozoya-Pérez Nancy E, Mora-Montes Héctor M

机构信息

Departamento de Biología, División de Ciencias Naturales y Exactas, Campus Guanajuato, Universidad de Guanajuato, Guanajuato Gto. 36050, Mexico.

Laboratorio de Glicobiología Humana y Diagnóstico Molecular, Centro de Investigación en Dinámica Celular, Instituto de Investigación en Ciencias Básicas y Aplicadas, Universidad Autónoma del Estado de Morelos, Cuernavaca Mor. 62209, Mexico.

出版信息

J Fungi (Basel). 2024 Apr 23;10(5):302. doi: 10.3390/jof10050302.

Abstract

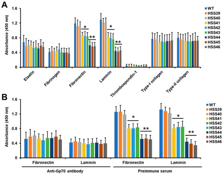
is one of the etiological agents of sporotrichosis, a cutaneous and subcutaneous infection distributed worldwide. Like other medically relevant fungi, its cell wall is a molecular scaffold to display virulence factors, such as protective pigments, hydrolytic enzymes, and adhesins. Cell wall proteins with adhesive properties have been previously reported, but only a handful of them have been identified and characterized. One of them is Gp70, an abundant cell wall protein mainly found on the surface of yeast-like cells. Since the protein also has a role in the activity of 3-carboxy-,-muconate cyclase and its abundance is low in highly virulent strains, its role in the -host interaction remains unclear. Here, a set of -silenced strains was generated, and the molecular and phenotypical characterization was performed. The results showed that mutants with high silencing levels showed a significant reduction in the adhesion to laminin and fibrinogen, enzyme activity, and defects in the cell wall composition, which included reduced mannose, rhamnose, and protein content, accompanied by an increment in β-1,3-glucans levels. The cell wall -linked glycan content was significantly reduced. These strains induced poor TNFα and IL-6 levels when interacting with human peripheral blood mononuclear cells in a dectin-1-, TLR2-, and TLR4-dependent stimulation. The IL-1β and IL-10 levels were significantly higher and were stimulated via dectin-1. Phagocytosis and stimulation of neutrophil extracellular traps by human granulocytes were increased in highly -silenced strains. Furthermore, these mutants showed virulence attenuation in the invertebrate model . Our results demonstrate that Gp70 is a versatile protein with adhesin properties, is responsible for the activity of 3-carboxy-,-muconate cyclase, and is relevant for the -host interaction.

摘要

是孢子丝菌病的病原体之一,孢子丝菌病是一种皮肤和皮下感染,在全球范围内均有分布。与其他医学相关真菌一样,其细胞壁是展示毒力因子的分子支架,这些毒力因子包括保护性色素、水解酶和黏附素。此前已有具有黏附特性的细胞壁蛋白的报道,但只有少数几种被鉴定和表征。其中一种是Gp70,它是一种丰富的细胞壁蛋白,主要存在于酵母样细胞表面。由于该蛋白在3-羧基-γ-己二酸环化酶的活性中也起作用,且在高毒力菌株中的丰度较低,其在宿主相互作用中的作用仍不清楚。在此,我们构建了一组基因沉默菌株,并进行了分子和表型特征分析。结果表明,沉默水平高的突变体对层粘连蛋白和纤维蛋白原的黏附、酶活性以及细胞壁组成存在显著缺陷,包括甘露糖、鼠李糖和蛋白质含量降低,同时β-1,3-葡聚糖水平升高。细胞壁连接聚糖含量显著降低。当与人类外周血单核细胞在依赖于dectin-1、TLR2和TLR4的刺激下相互作用时,这些菌株诱导产生的TNFα和IL-6水平较低。IL-1β和IL-10水平显著升高,并通过dectin-1刺激产生。高基因沉默菌株中人类粒细胞的吞噬作用和中性粒细胞胞外陷阱的刺激作用增强。此外,这些突变体在无脊椎动物模型中显示出毒力减弱。我们的结果表明,Gp70是一种具有黏附素特性的多功能蛋白,负责3-羧基-γ-己二酸环化酶的活性,并且与宿主相互作用相关。

https://cdn.ncbi.nlm.nih.gov/pmc/blobs/53a2/11121839/69f844a95f45/jof-10-00302-g001.jpg

文献AI研究员

20分钟写一篇综述,助力文献阅读效率提升50倍。

立即体验

用中文搜PubMed

大模型驱动的PubMed中文搜索引擎

马上搜索

文档翻译

学术文献翻译模型,支持多种主流文档格式。

立即体验