• 文献检索
  • 文档翻译
  • 深度研究
  • 学术资讯
  • Suppr Zotero 插件Zotero 插件
  • 邀请有礼
  • 套餐&价格
  • 历史记录
应用&插件
Suppr Zotero 插件Zotero 插件浏览器插件Mac 客户端Windows 客户端微信小程序
定价
高级版会员购买积分包购买API积分包
服务
文献检索文档翻译深度研究API 文档MCP 服务
关于我们
关于 Suppr公司介绍联系我们用户协议隐私条款
关注我们

Suppr 超能文献

核心技术专利:CN118964589B侵权必究
粤ICP备2023148730 号-1Suppr @ 2026

文献检索

告别复杂PubMed语法,用中文像聊天一样搜索,搜遍4000万医学文献。AI智能推荐,让科研检索更轻松。

立即免费搜索

文件翻译

保留排版,准确专业,支持PDF/Word/PPT等文件格式,支持 12+语言互译。

免费翻译文档

深度研究

AI帮你快速写综述,25分钟生成高质量综述,智能提取关键信息,辅助科研写作。

立即免费体验

含百里香酚的牛骨明胶/羧甲基纤维素钠纳米乳液的制备、优化及表征

Preparation, Optimization, and Characterization of Bovine Bone Gelatin/Sodium Carboxymethyl Cellulose Nanoemulsion Containing Thymol.

作者信息

Liu Mengying, Shen Ruheng, Wang Liyuan, Yang Xue, Zhang Li, Ma Xiaotong, He Long, Li Aixia, Kong Xiangying, Shi Hongmei

机构信息

College of Food Science and Engineering, Gansu Agriculture University, Lanzhou 730070, China.

Qinghai Haibei Animal Husbandry and Veterinary Science Research Institute, Haibei 810200, China.

出版信息

Foods. 2024 May 13;13(10):1506. doi: 10.3390/foods13101506.

DOI:10.3390/foods13101506
PMID:38790806
原文链接:https://pmc.ncbi.nlm.nih.gov/articles/PMC11120539/
Abstract

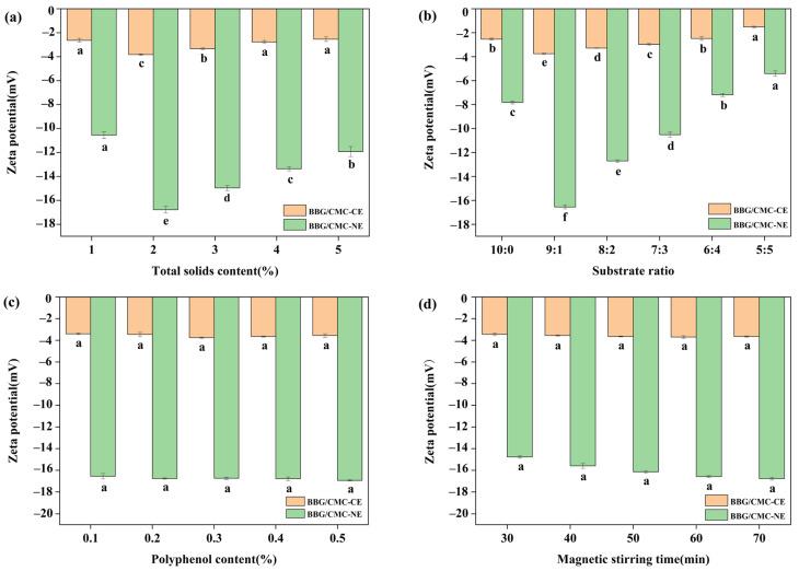
The aim of this study is to produce a biodegradable food packaging material that reduces environmental pollution and protects food safety. The effects of total solids content, substrate ratio, polyphenol content, and magnetic stirring time on bovine bone gelatin/sodium carboxymethylcellulose nanoemulsion (BBG/SCMC-NE) were investigated using particle size, PDI, turbidity, rheological properties, and zeta potential as evaluation indexes. The micro, structural, antioxidant, encapsulation, and release properties were characterized after deriving its optimal preparation process. The results showed that the nanoemulsion was optimally prepared with a total solids content of 2%, a substrate ratio of 9:1, a polyphenol content of 0.2%, and a magnetic stirring time of 60 min. SEM showed that the nanoemulsion showed a dense and uniform reticulated structure. FTIR and XRD results showed that covalent cross-linking of proteins and polysaccharides altered the structure of gelatin molecular chains to a more compact form but did not change its semi-crystalline structure. DSC showed that the 9:1 BBG/SCMC-NE had a higher thermal denaturation temperature and greater thermal stability, and its DPPH scavenging rate could reach 79.25% and encapsulation rate up to 90.88%, with excellent slow-release performance. The results of the study provide basic guidance for the preparation of stable active food packaging with excellent properties.

摘要

本研究的目的是制备一种可生物降解的食品包装材料,以减少环境污染并保障食品安全。以粒径、多分散指数(PDI)、浊度、流变学性质和zeta电位为评价指标,研究了总固形物含量、底物比例、多酚含量和磁力搅拌时间对牛骨明胶/羧甲基纤维素钠纳米乳液(BBG/SCMC-NE)的影响。在得出其最佳制备工艺后,对其微观结构、抗氧化、包封和释放性能进行了表征。结果表明,当总固形物含量为2%、底物比例为9:1、多酚含量为0.2%、磁力搅拌时间为60分钟时,纳米乳液的制备效果最佳。扫描电子显微镜(SEM)显示,该纳米乳液呈现出致密且均匀的网状结构。傅里叶变换红外光谱(FTIR)和X射线衍射(XRD)结果表明,蛋白质和多糖的共价交联使明胶分子链结构转变为更紧密的形式,但未改变其半结晶结构。差示扫描量热法(DSC)表明,9:1的BBG/SCMC-NE具有更高的热变性温度和更大的热稳定性,其对二苯基苦味酰基自由基(DPPH)的清除率可达79.25%,包封率高达90.88%,具有优异的缓释性能。该研究结果为制备具有优异性能的稳定活性食品包装提供了基础指导。

https://cdn.ncbi.nlm.nih.gov/pmc/blobs/3490/11120539/61be1d167665/foods-13-01506-g013.jpg
https://cdn.ncbi.nlm.nih.gov/pmc/blobs/3490/11120539/aac0a742d21a/foods-13-01506-g001.jpg
https://cdn.ncbi.nlm.nih.gov/pmc/blobs/3490/11120539/769251876480/foods-13-01506-g002.jpg
https://cdn.ncbi.nlm.nih.gov/pmc/blobs/3490/11120539/86a53fa1a767/foods-13-01506-g003.jpg
https://cdn.ncbi.nlm.nih.gov/pmc/blobs/3490/11120539/9acbfb7f0322/foods-13-01506-g004.jpg
https://cdn.ncbi.nlm.nih.gov/pmc/blobs/3490/11120539/7ef8788237f8/foods-13-01506-g005.jpg
https://cdn.ncbi.nlm.nih.gov/pmc/blobs/3490/11120539/5bdb89f5e542/foods-13-01506-g006a.jpg
https://cdn.ncbi.nlm.nih.gov/pmc/blobs/3490/11120539/6824f2de9890/foods-13-01506-g007.jpg
https://cdn.ncbi.nlm.nih.gov/pmc/blobs/3490/11120539/2faaa917647c/foods-13-01506-g008a.jpg
https://cdn.ncbi.nlm.nih.gov/pmc/blobs/3490/11120539/fb86ee78bad3/foods-13-01506-g009.jpg
https://cdn.ncbi.nlm.nih.gov/pmc/blobs/3490/11120539/e01ecd1d1fec/foods-13-01506-g010.jpg
https://cdn.ncbi.nlm.nih.gov/pmc/blobs/3490/11120539/2a32d8a29a4f/foods-13-01506-g011.jpg
https://cdn.ncbi.nlm.nih.gov/pmc/blobs/3490/11120539/7c03463dc0b0/foods-13-01506-g012.jpg
https://cdn.ncbi.nlm.nih.gov/pmc/blobs/3490/11120539/61be1d167665/foods-13-01506-g013.jpg
https://cdn.ncbi.nlm.nih.gov/pmc/blobs/3490/11120539/aac0a742d21a/foods-13-01506-g001.jpg
https://cdn.ncbi.nlm.nih.gov/pmc/blobs/3490/11120539/769251876480/foods-13-01506-g002.jpg
https://cdn.ncbi.nlm.nih.gov/pmc/blobs/3490/11120539/86a53fa1a767/foods-13-01506-g003.jpg
https://cdn.ncbi.nlm.nih.gov/pmc/blobs/3490/11120539/9acbfb7f0322/foods-13-01506-g004.jpg
https://cdn.ncbi.nlm.nih.gov/pmc/blobs/3490/11120539/7ef8788237f8/foods-13-01506-g005.jpg
https://cdn.ncbi.nlm.nih.gov/pmc/blobs/3490/11120539/5bdb89f5e542/foods-13-01506-g006a.jpg
https://cdn.ncbi.nlm.nih.gov/pmc/blobs/3490/11120539/6824f2de9890/foods-13-01506-g007.jpg
https://cdn.ncbi.nlm.nih.gov/pmc/blobs/3490/11120539/2faaa917647c/foods-13-01506-g008a.jpg
https://cdn.ncbi.nlm.nih.gov/pmc/blobs/3490/11120539/fb86ee78bad3/foods-13-01506-g009.jpg
https://cdn.ncbi.nlm.nih.gov/pmc/blobs/3490/11120539/e01ecd1d1fec/foods-13-01506-g010.jpg
https://cdn.ncbi.nlm.nih.gov/pmc/blobs/3490/11120539/2a32d8a29a4f/foods-13-01506-g011.jpg
https://cdn.ncbi.nlm.nih.gov/pmc/blobs/3490/11120539/7c03463dc0b0/foods-13-01506-g012.jpg
https://cdn.ncbi.nlm.nih.gov/pmc/blobs/3490/11120539/61be1d167665/foods-13-01506-g013.jpg

相似文献

1
Preparation, Optimization, and Characterization of Bovine Bone Gelatin/Sodium Carboxymethyl Cellulose Nanoemulsion Containing Thymol.含百里香酚的牛骨明胶/羧甲基纤维素钠纳米乳液的制备、优化及表征
Foods. 2024 May 13;13(10):1506. doi: 10.3390/foods13101506.
2
Preparation and characterization of clove essential oil loaded nanoemulsion and pickering emulsion activated pullulan-gelatin based edible film.丁香精油负载纳米乳液和 Pickering 乳液激活普鲁兰-明胶基可食用膜的制备及表征。
Int J Biol Macromol. 2021 Jun 30;181:528-539. doi: 10.1016/j.ijbiomac.2021.03.133. Epub 2021 Mar 29.
3
Structural and physical properties of carboxymethyl cellulose/gelatin films functionalized with antioxidant of bamboo leaves.竹叶抗氧化剂功能化的羧甲基纤维素/明胶薄膜的结构和物理性能。
Int J Biol Macromol. 2020 Dec 1;164:1649-1656. doi: 10.1016/j.ijbiomac.2020.07.286. Epub 2020 Aug 3.
4
Preparation of gelatin-chitosan bilayer film loaded citral nanoemulsion as pH and enzyme stimuli-responsive antibacterial material for food packaging.载柠檬醛纳米乳液的明胶-壳聚糖双层膜的制备及其作为 pH 和酶双重刺激响应型抗菌包装材料用于食品包装。
Int J Biol Macromol. 2024 Jan;254(Pt 1):127620. doi: 10.1016/j.ijbiomac.2023.127620. Epub 2023 Oct 26.
5
Nanoemulsion-integrated gelatin/bacterial cellulose nanofibril-based multifunctional film: Fabrication, characterization, and application.纳米乳剂整合明胶/细菌纤维素纳米纤维基多功能膜:制备、表征与应用。
Int J Biol Macromol. 2024 Feb;257(Pt 1):128341. doi: 10.1016/j.ijbiomac.2023.128341. Epub 2023 Nov 27.
6
Preparation and evaluation of gelatin/sodium carboxymethyl cellulose polyelectrolyte complex microparticles for controlled delivery of isoniazid.制备和评价明胶/羧甲基纤维素钠聚电解质复合微球用于异烟肼的控制释放。
AAPS PharmSciTech. 2009;10(4):1412-9. doi: 10.1208/s12249-009-9344-9. Epub 2009 Nov 24.
7
Effect of electrostatic repulsion on barrier properties and thermal performance of gelatin films by carboxymethyl starch, and application in food cooking.静电斥力对羧甲基淀粉明胶膜阻隔性能和热性能的影响及其在食品烹饪中的应用。
Int J Biol Macromol. 2024 Mar;261(Pt 2):129380. doi: 10.1016/j.ijbiomac.2024.129380. Epub 2024 Jan 18.
8
Properties of active gelatin films incorporated with rutin-loaded nanoemulsions.负载芦丁纳米乳液的活性明胶膜的性能
Int J Biol Macromol. 2017 May;98:39-49. doi: 10.1016/j.ijbiomac.2017.01.094. Epub 2017 Jan 23.
9
Antioxidant Activity, Formulation, Optimization and Characterization of an Oil-in-Water Nanoemulsion Loaded with Lingonberry ( L.) Leaves Polyphenol Extract.富含越橘叶多酚提取物的水包油纳米乳液的抗氧化活性、配方、优化及表征
Foods. 2023 Nov 24;12(23):4256. doi: 10.3390/foods12234256.
10
Cellulose acetate/AgNPs-organoclay and/or thymol nano-biocomposite films with combined antimicrobial/antioxidant properties for active food packaging use.纤维素醋酸酯/AgNPs-有机黏土和/或百里香纳米生物复合膜,兼具抗菌/抗氧化性能,可用于活性食品包装。
Int J Biol Macromol. 2019 Jan;121:508-523. doi: 10.1016/j.ijbiomac.2018.10.042. Epub 2018 Oct 12.

本文引用的文献

1
The Effect of Ionic Strength on the Formation and Stability of Ovalbumin-Xanthan Gum Complex Emulsions.离子强度对卵清蛋白-黄原胶复合乳液形成及稳定性的影响
Foods. 2024 Jan 10;13(2):218. doi: 10.3390/foods13020218.
2
Development and characterization of starch/PVA antimicrobial active films with controlled release property by utilizing electrostatic interactions between nanocellulose and lauroyl arginate ethyl ester.利用纳米纤维素与月桂酰精氨酸乙酯之间的静电相互作用制备具有控释性能的淀粉/聚乙烯醇抗菌活性薄膜及其表征
Int J Biol Macromol. 2024 Mar;261(Pt 1):129415. doi: 10.1016/j.ijbiomac.2024.129415. Epub 2024 Jan 13.
3
Gelatin/carboxymethylcellulose composite film combined with photodynamic antibacterial: New prospect for fruit preservation.
明胶/羧甲基纤维素复合膜结合光动力抗菌:水果保鲜的新前景。
Int J Biol Macromol. 2024 Feb;257(Pt 1):128643. doi: 10.1016/j.ijbiomac.2023.128643. Epub 2023 Dec 5.
4
Combination of carrageenan with sodium alginate, gum arabic, and locust bean gum: Effects on rheological properties and quiescent stabilities of partially crystalline emulsions.角叉菜胶与海藻酸钠、阿拉伯胶和刺槐豆胶的组合:对部分结晶乳液的流变特性和静态稳定性的影响
Int J Biol Macromol. 2023 Dec 31;253(Pt 8):127561. doi: 10.1016/j.ijbiomac.2023.127561. Epub 2023 Oct 19.
5
Preparation of food-grade EDC/NHS-crosslinked gelatin nanoparticles and their application for Pickering emulsion stabilization.制备食品级 EDC/NHS 交联明胶纳米颗粒及其在 Pickering 乳液稳定化中的应用。
Food Chem. 2024 Mar 15;436:137700. doi: 10.1016/j.foodchem.2023.137700. Epub 2023 Oct 10.
6
Properties of Allicin-Zein Composite Nanoparticle Gelatin Film and Their Effects on the Quality of Cold, Fresh Beef during Storage.大蒜素-玉米醇溶蛋白复合纳米粒子明胶膜的特性及其对冷藏鲜牛肉贮藏品质的影响
Foods. 2023 Oct 9;12(19):3713. doi: 10.3390/foods12193713.
7
Improving the quality of the chicken fillet using chitosan, gelatin, and starch coatings incorporated with bitter orange peel extract during refrigeration.在冷藏期间,使用壳聚糖、明胶和淀粉涂层并添加苦橙皮提取物来提高鸡胸肉的品质。
Food Sci Nutr. 2023 May 15;11(8):4700-4712. doi: 10.1002/fsn3.3432. eCollection 2023 Aug.
8
Effects of konjac glucan-nan/low-acyl gellan edible coatings loaded thymol-β-cyclodextrin microcapsules on postharvest blueberry.魔芋葡甘聚糖-纳米/低酰基结冷胶可食性涂膜负载百里香酚-β-环糊精微胶囊对采后蓝莓的影响
Food Chem. 2024 Jan 1;430:137080. doi: 10.1016/j.foodchem.2023.137080. Epub 2023 Aug 3.
9
Functional modification of gelatin-based biodegradable composite films: a review.基于明胶的可生物降解复合膜的功能改性:综述。
Food Addit Contam Part A Chem Anal Control Expo Risk Assess. 2023 Jul;40(7):928-949. doi: 10.1080/19440049.2023.2222844. Epub 2023 Jun 13.
10
Gelatin/carboxymethyl cellulose edible films: modification of physical properties by different hydrocolloids and application in beef preservation in combination with shallot waste powder.明胶/羧甲基纤维素可食用薄膜:不同水胶体对其物理性能的改性及其与葱皮废料粉结合在牛肉保鲜中的应用
RSC Adv. 2023 Mar 29;13(15):10005-10014. doi: 10.1039/d3ra00430a. eCollection 2023 Mar 27.