Suppr超能文献

滑车成形术对复发性髌股关节脱位疗效良好,不同技术之间无明显优势。

Trochleoplasty Provides Good Outcomes for Recurrent Patellofemoral Dislocations with No Clear Superiority across Different Techniques.

作者信息

Tan Sharon Si Heng, Law Gin Way, Kim Sunny Sunwoo, Sethi Ervin, Lim Andrew Kean Seng, Hui James Hoi Po

机构信息

Department of Orthopaedic Surgery, National University Health System, Singapore 119228, Singapore.

出版信息

J Clin Med. 2024 May 20;13(10):3009. doi: 10.3390/jcm13103009.

Abstract

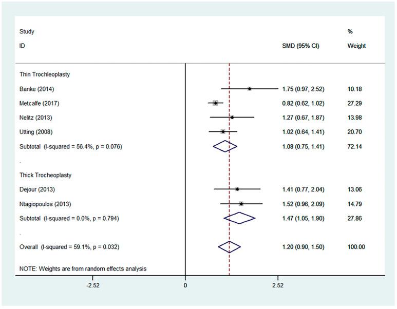
Literature is sparse on outcome comparisons between different trochleoplasty techniques in the treatment of patella instability. To date, it is unclear whether there is a technique that offers superior outcomes. This systematic review and meta-analysis aims to compare and evaluate the outcomes of trochleoplasty techniques in the treatment of patellofemoral instability in trochlea dysplasia to establish whether there is an ideal choice of trochleoplasty technique for superior outcomes. : 21 studies involving 880 knees were included. The mean age of the patients was 21.7 years (range 8-49 years). Mean follow-up timeframe of 43.5 months (range 8.8-100 months). Clinical outcomes assessed included rates of recurrence of patellofemoral dislocation, patient satisfaction, Kujala score, International Knee Documentation Committee (IKDC) score, Tegner score, and Lysholm score. Egger's test showed no publication bias across all outcomes assessed. : Favourable results were seen across all outcomes assessed and patient satisfaction. Improvements were seen with Kujala, IKDC, and Lysholm scores. Tegner scores showed good return to function. Post-operative dislocation and complication rates were low across the different techniques. Meta-regression for Kujala and IKDC scores showed good outcomes regardless of trochleoplasty technique used (Kujala, = 0.549, relative risk 492.06; IKDC, = 0.193, RR 0.001). The exact risk that trochleoplasty poses to the cartilage remains uncertain, as no study had a conservatively managed arm for comparison. : Trochleoplasty yielded good outcomes irrespective of technique used with no clear superiority demonstrated in any technique in terms of outcome scores, satisfaction, post-operative dislocation rates or complications.

摘要

关于不同滑车成形术治疗髌骨不稳定的疗效比较,相关文献较少。迄今为止,尚不清楚是否存在一种疗效更佳的技术。本系统评价和荟萃分析旨在比较和评估滑车成形术治疗滑车发育不良所致髌股关节不稳定的疗效,以确定是否存在理想的滑车成形术选择以获得更好的疗效。纳入了21项研究,共880个膝关节。患者的平均年龄为21.7岁(范围8 - 49岁)。平均随访时间为43.5个月(范围8.8 - 100个月)。评估的临床结局包括髌股关节脱位复发率、患者满意度、库贾拉评分、国际膝关节文献委员会(IKDC)评分、特格纳评分和利绍尔评分。Egger检验显示在所有评估结局中均无发表偏倚。在所有评估结局和患者满意度方面均取得了良好的结果。库贾拉、IKDC和利绍尔评分均有所改善。特格纳评分显示功能恢复良好。不同技术的术后脱位和并发症发生率均较低。对库贾拉和IKDC评分的Meta回归分析显示,无论采用何种滑车成形术技术,均取得了良好的疗效(库贾拉, = 0.549,相对风险492.06;IKDC, = 0.193,RR 0.001)。由于没有研究设置保守治疗组进行比较,滑车成形术对软骨的确切风险仍不确定。无论采用何种技术,滑车成形术均取得了良好的疗效,在结局评分、满意度、术后脱位率或并发症方面,没有任何一种技术显示出明显的优势。

https://cdn.ncbi.nlm.nih.gov/pmc/blobs/4f06/11122057/fcccc8047d50/jcm-13-03009-g001.jpg

文献AI研究员

20分钟写一篇综述,助力文献阅读效率提升50倍。

立即体验

用中文搜PubMed

大模型驱动的PubMed中文搜索引擎

马上搜索

文档翻译

学术文献翻译模型,支持多种主流文档格式。

立即体验