Okrasa Lidia, Włodarska Magdalena, Kisiel Maciej, Mossety-Leszczak Beata
Department of Molecular Physics, Lodz University of Technology, Żeromskiego 116, 90-924 Lodz, Poland.
Institute of Physics, Lodz University of Technology, Wólczańska 217/221, 93-005 Lodz, Poland.
Polymers (Basel). 2024 May 8;16(10):1320. doi: 10.3390/polym16101320.
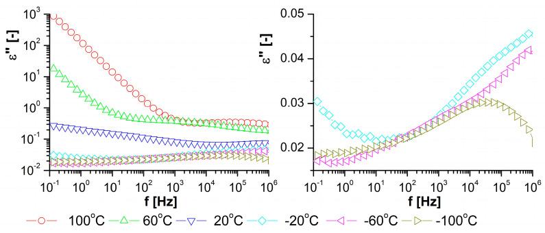
A nonterminal liquid crystal epoxy monomer is used to create an epoxy-amine network with a typical diamine 4,4'diaminodiphenylmethane. The plain matrix is compared to matrices modified with inorganic fillers: TiO or SiO. Conditions of the curing reaction and glass transition temperatures in the cured products are determined through differential scanning calorimetry and broadband dielectric spectroscopy. The curing process is also followed through optical and electrical observations. The dielectric response of all investigated networks reveals a segmental α-process related to structural reorientation (connected to the glass transition). In all products, a similar process associated with molecular motions of polar groups also appears. The matrix modified with TiO exhibits two secondary relaxation processes (β and γ). Similar processes were observed in the pure monomer. An advantage of the network with the TiO filler is a shorter time or lower temperature required for optimal curing conditions. The physical properties of cured matrices depend on the presence of a nematic phase in the monomer and nonterminal functional groups in the aliphatic chains. In effect, such cured matrices can have more flexibility and internal order than classical resins. Additional modifiers used in this work shift the glass transition above room temperature and influence the fragility index in both cases.
一种非末端液晶环氧单体与典型的二胺4,4'-二氨基二苯甲烷用于构建环氧-胺网络。将普通基体与用无机填料TiO或SiO改性的基体进行比较。通过差示扫描量热法和宽带介电谱测定固化产物中的固化反应条件和玻璃化转变温度。还通过光学和电学观察跟踪固化过程。所有研究网络的介电响应都显示出与结构重排相关的链段α过程(与玻璃化转变有关)。在所有产物中,还出现了与极性基团分子运动相关的类似过程。用TiO改性的基体表现出两个次级弛豫过程(β和γ)。在纯单体中也观察到了类似的过程。含TiO填料的网络的一个优点是达到最佳固化条件所需的时间更短或温度更低。固化基体的物理性能取决于单体中向列相的存在以及脂肪族链中的非末端官能团。实际上,这种固化基体比传统树脂具有更大的柔韧性和内部有序性。本工作中使用的其他改性剂将玻璃化转变温度提高到室温以上,并且在两种情况下都会影响脆性指数。