Suppr超能文献

一种姬蜂科黄蜂的基因组序列,(泽特施泰特,1838年)。

The genome sequence of an ichneumonid wasp, (Zetterstedt, 1838).

作者信息

Broad Gavin R, Fletcher Chris, Januszczak Inez

机构信息

Natural History Museum, London, England, UK.

出版信息

Wellcome Open Res. 2023 Jul 20;8:313. doi: 10.12688/wellcomeopenres.19738.1. eCollection 2023.

Abstract

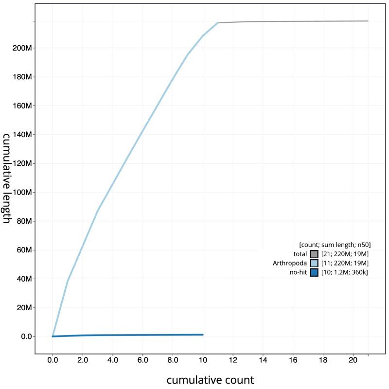
We present a genome assembly from an individual female (an ichneumonid wasp; Arthropoda; Insecta; Hymenoptera; Ichneumonidae). The genome sequence is 218.6 megabases in span. Most of the assembly is scaffolded into 11 chromosomal pseudomolecules. The mitochondrial genome has also been assembled and is 28.53 kilobases in length.

摘要

我们展示了一个来自雌性个体(一种姬蜂;节肢动物门;昆虫纲;膜翅目;姬蜂科)的基因组组装。基因组序列跨度为218.6兆碱基。大部分组装序列被构建成11条染色体假分子。线粒体基因组也已组装完成,长度为28.53千碱基。

https://cdn.ncbi.nlm.nih.gov/pmc/blobs/0039/11137483/7dcfc697e7f2/wellcomeopenres-8-21863-g0000.jpg

文献AI研究员

20分钟写一篇综述,助力文献阅读效率提升50倍。

立即体验

用中文搜PubMed

大模型驱动的PubMed中文搜索引擎

马上搜索

文档翻译

学术文献翻译模型,支持多种主流文档格式。

立即体验