Environmental Science and Technology Research Center, Department of Environmental Health Engineering, School of Public Health, Shahid Sadoughi University of Medical Sciences, Yazd, Iran.
Department of Pharmaceutics, Faculty of Pharmacy, Shahid Sadoughi University of Medical Sciences, Yazd, Iran.
Sci Rep. 2024 May 31;14(1):12575. doi: 10.1038/s41598-024-62839-w.
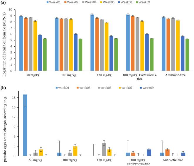
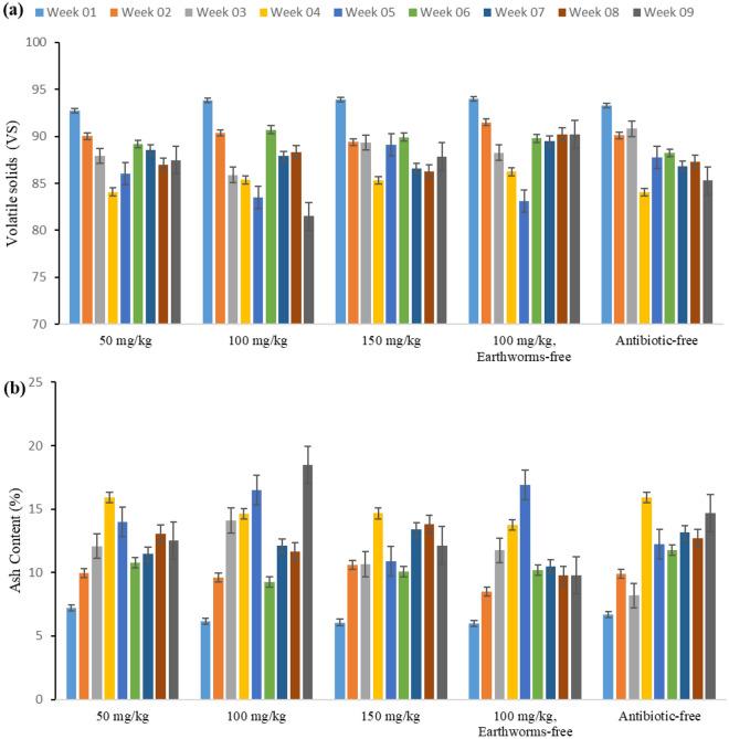
This study investigated batch-fed vermicomposting of cow manure, with a specific focus on assessing the effects of tylosin on the weight of earthworms and the overall quality of the resulting manure. Five reactors, including three concentrations of tylosin (50, 100, and 150 mg/kg) and two control reactors, were employed. Residual tylosin concentrations were measured using high-performance liquid chromatography (HPLC). Quality parameters such as pH, temperature, volatile solids (VS), organic carbon content (OCC), electrical conductivity (EC), ash content, C/N ratio, total Kjeldahl nitrogen (TKN), and microbial content were evaluated. The toxicity and maturity of vermicompost were assessed by determining the germination index (GI). The study also monitored variations in the earthworm's weight. The results demonstrated a decreasing trend in VS, OCC, C/N, and fecal coliforms, along with increased pH, EC, ash content, and TKN during the vermicomposting process. Furthermore, investigations revealed significant reductions in the reactors with tylosin concentrations of 50, 100, and 150 mg/kg, resulting in the removal of 98%, 90.48%, and 89.38% of the initial tylosin, respectively. This result confirms the faster removal of tylosin in reactors with lower concentrations. Degradation of tylosin also conforms to first-order kinetics. The findings showed a significant influence of tylosin on the weight of Eisenia fetida earthworms and the lowest antibiotic concentration led to the highest weight gain. Finally, the high percentage of germination index (90-100%) showed that the quality and maturity of vermicompost is by national and international standards.
本研究采用分批进料法进行牛粪堆肥,特别关注土霉素对蚯蚓体重和堆肥整体质量的影响。该研究使用了五个反应器,包括三个土霉素浓度(50、100 和 150mg/kg)和两个对照反应器。使用高效液相色谱法(HPLC)测量残留土霉素浓度。评估了 pH 值、温度、挥发性固体(VS)、有机碳含量(OCC)、电导率(EC)、灰分含量、C/N 比、总凯氏氮(TKN)和微生物含量等质量参数。通过测定发芽指数(GI)来评估堆肥的毒性和成熟度。该研究还监测了蚯蚓体重的变化。研究结果表明,在堆肥过程中,VS、OCC、C/N 和粪便大肠菌群呈下降趋势,而 pH 值、EC、灰分含量和 TKN 则呈上升趋势。此外,研究还发现,在土霉素浓度为 50、100 和 150mg/kg 的反应器中,土霉素的去除率分别达到了 98%、90.48%和 89.38%。这一结果证实了低浓度反应器中土霉素更快的去除速度。土霉素的降解也符合一级动力学。研究结果表明,土霉素对赤子爱胜蚓体重有显著影响,最低抗生素浓度导致最高的体重增加。最后,高发芽指数(90-100%)表明堆肥的质量和成熟度符合国家和国际标准。