Suppr超能文献

具有变速度障碍物的自主车辆的高度平滑且参数独立的避障方法

Highly smooth and parameter independent obstacle avoidance method for autonomous vehicle with velocity-varying obstacle.

机构信息

Huaihua University, Huaihua, Hunan, China.

Gachon University, Seongnam, South Korea.

出版信息

PLoS One. 2024 Jun 6;19(6):e0303160. doi: 10.1371/journal.pone.0303160. eCollection 2024.

Abstract

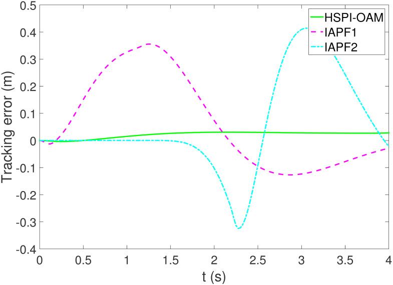
One of the primary challenges for autonomous vehicle (AV) is planning a collision-free path in dynamic environment. It is a tricky task for achieving high-performance obstacle avoidance with velocity-varying obstacle. To solve this problem, a highly smooth and parameter independent obstacle avoidance method for autonomous vehicle with velocity-varying obstacle (HSPI-OAM) is presented in this work. The proposed method uses the virtual collision point model to accurately design the desired acceleration, which makes the obtained path highly smooth. At the same time, the method gets rid of the dependence on parameter adjustment and has strong adaptability to different environments. The simulation is implemented on the Matlab-Carsim co-simulation platform, and the simulation results show that the path planned by HSPI-OAM has good performance for obstacle with acceleration.

摘要

自动驾驶汽车(AV)面临的主要挑战之一是在动态环境中规划无碰撞路径。对于具有变速障碍物的高性能避障来说,这是一项艰巨的任务。为了解决这个问题,本工作提出了一种具有变速障碍物的自动驾驶汽车的高度平滑且参数独立的避障方法(HSPI-OAM)。该方法使用虚拟碰撞点模型来精确设计期望加速度,从而使获得的路径非常平滑。同时,该方法摆脱了对参数调整的依赖,对不同环境具有很强的适应性。在 Matlab-Carsim 联合仿真平台上进行了仿真,仿真结果表明,HSPI-OAM 规划的路径在具有加速度的障碍物方面具有良好的性能。

https://cdn.ncbi.nlm.nih.gov/pmc/blobs/5088/11156416/d4f30f6df057/pone.0303160.g001.jpg

文献AI研究员

20分钟写一篇综述,助力文献阅读效率提升50倍。

立即体验

用中文搜PubMed

大模型驱动的PubMed中文搜索引擎

马上搜索

文档翻译

学术文献翻译模型,支持多种主流文档格式。

立即体验