• 文献检索
  • 文档翻译
  • 深度研究
  • 学术资讯
  • Suppr Zotero 插件Zotero 插件
  • 邀请有礼
  • 套餐&价格
  • 历史记录
应用&插件
Suppr Zotero 插件Zotero 插件浏览器插件Mac 客户端Windows 客户端微信小程序
定价
高级版会员购买积分包购买API积分包
服务
文献检索文档翻译深度研究API 文档MCP 服务
关于我们
关于 Suppr公司介绍联系我们用户协议隐私条款
关注我们

Suppr 超能文献

核心技术专利:CN118964589B侵权必究
粤ICP备2023148730 号-1Suppr @ 2026

文献检索

告别复杂PubMed语法,用中文像聊天一样搜索,搜遍4000万医学文献。AI智能推荐,让科研检索更轻松。

立即免费搜索

文件翻译

保留排版,准确专业,支持PDF/Word/PPT等文件格式,支持 12+语言互译。

免费翻译文档

深度研究

AI帮你快速写综述,25分钟生成高质量综述,智能提取关键信息,辅助科研写作。

立即免费体验

日常生活活动能力可检测接受雄激素剥夺治疗的前列腺癌幸存者的衰弱、跌倒情况及功能状态。

Daily life mobility detects frailty, falls, and functioning in ADT-treated prostate cancer survivors.

作者信息

Winters Kerri, Tibbitts Deanne, Mancini Martina, Stoyles Sydnee, Dieckmann Nathan, Graff Julie, El-Gohary Mahmoud, Horak Fay

机构信息

OHSU.

Oregon Health & Science University.

出版信息

Res Sq. 2024 May 30:rs.3.rs-4402624. doi: 10.21203/rs.3.rs-4402624/v1.

DOI:10.21203/rs.3.rs-4402624/v1
PMID:38854112
原文链接:https://pmc.ncbi.nlm.nih.gov/articles/PMC11160906/
Abstract

BACKGROUND

Androgen deprivation therapy (ADT) increases the risk of frailty, falls, and, poor physical functioning in prostate cancer survivors. Detection of frailty is limited to self-report instruments and performance measures, so unbiased tools are needed. We investigated relationships between an unbiased measure - daily life mobility - and ADT history, frailty, falls, and functioning in ADT-treated prostate cancer survivors.

METHODS

ADT-treated prostate cancer survivors (N=99) were recruited from an exercise clinical trial, an academic medical center, and the community. Participants completed performance measures and surveys to assess frailty, fall history, and physical functioning, then wore instrumented socks to continuously monitor daily life mobility. We performed a principal component analysis on daily life mobility metrics and used regression analyses to investigate relationships between domains of daily life mobility and frailty, fall history, and physical functioning.

RESULTS

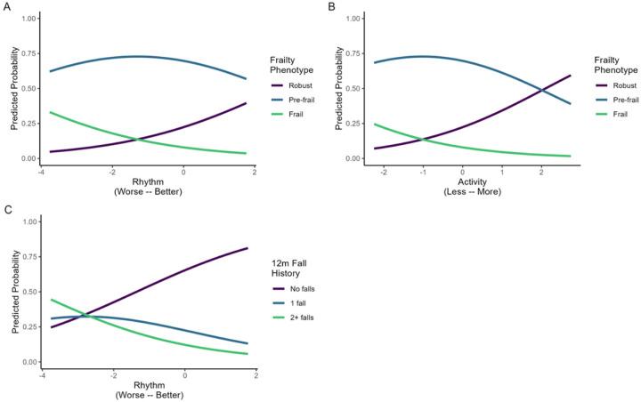
Daily life mobility metrics clustered into four domains: Gait Pace, Rhythm, Activity, and Balance. Worse scores on Rhythm and Activity were associated with increased odds of frailty (OR 1.59, 95% CI: 1.04, 2.49 and OR 1.81, 95% CI: 1.19, 2.83, respectively). A worse score on Rhythm was associated with increased odds of ≥1 falls in the previous year (OR 1.60, 95% CI: 1.05, 2.47). Worse scores on Gait Pace, Rhythm, and Activity were associated with worse physical functioning. Mobility metrics were similar between current and past users of ADT.

CONCLUSIONS

Continuous passive monitoring of daily life mobility may identify prostate cancer survivors who have or are developing risk for frailty, falls, and declines in physical functioning.

摘要

背景

雄激素剥夺疗法(ADT)会增加前列腺癌幸存者出现虚弱、跌倒及身体功能不佳的风险。目前对虚弱的检测仅限于自我报告工具和表现测量,因此需要无偏差的工具。我们研究了一种无偏差测量方法——日常生活活动能力——与ADT治疗史、虚弱、跌倒及ADT治疗的前列腺癌幸存者身体功能之间的关系。

方法

从一项运动临床试验、一家学术医疗中心和社区招募接受ADT治疗的前列腺癌幸存者(N = 99)。参与者完成表现测量和调查以评估虚弱、跌倒史和身体功能,然后穿着装有仪器的袜子持续监测日常生活活动能力。我们对日常生活活动能力指标进行主成分分析,并使用回归分析来研究日常生活活动能力各领域与虚弱、跌倒史和身体功能之间的关系。

结果

日常生活活动能力指标聚为四个领域:步速、节奏、活动和平衡。节奏和活动方面得分越差,虚弱几率越高(分别为OR 1.59,95% CI:1.04,2.49和OR 1.81,95% CI:1.19,2.83)。节奏方面得分越差,上一年发生≥1次跌倒的几率越高(OR 1.60,95% CI:1.05,2.47)。步速、节奏和活动方面得分越差,身体功能越差。目前和既往ADT使用者之间的活动能力指标相似。

结论

对日常生活活动能力进行持续被动监测可能识别出有或正在出现虚弱、跌倒及身体功能下降风险的前列腺癌幸存者。

https://cdn.ncbi.nlm.nih.gov/pmc/blobs/df5d/11160906/53cc1d7f4ac2/nihpp-rs4402624v1-f0002.jpg
https://cdn.ncbi.nlm.nih.gov/pmc/blobs/df5d/11160906/895e65e8d9b5/nihpp-rs4402624v1-f0001.jpg
https://cdn.ncbi.nlm.nih.gov/pmc/blobs/df5d/11160906/53cc1d7f4ac2/nihpp-rs4402624v1-f0002.jpg
https://cdn.ncbi.nlm.nih.gov/pmc/blobs/df5d/11160906/895e65e8d9b5/nihpp-rs4402624v1-f0001.jpg
https://cdn.ncbi.nlm.nih.gov/pmc/blobs/df5d/11160906/53cc1d7f4ac2/nihpp-rs4402624v1-f0002.jpg

相似文献

1
Daily life mobility detects frailty, falls, and functioning in ADT-treated prostate cancer survivors.日常生活活动能力可检测接受雄激素剥夺治疗的前列腺癌幸存者的衰弱、跌倒情况及功能状态。
Res Sq. 2024 May 30:rs.3.rs-4402624. doi: 10.21203/rs.3.rs-4402624/v1.
2
Daily life mobility detects frailty, falls, and functioning in older prostate cancer survivors treated with androgen deprivation therapy.日常生活活动能力可检测接受雄激素剥夺治疗的老年前列腺癌幸存者的衰弱、跌倒情况及功能状态。
J Geriatr Oncol. 2025 Mar;16(2):102180. doi: 10.1016/j.jgo.2024.102180. Epub 2024 Dec 20.
3
The Use of Novel Instrumented Socks to Detect Changes in Daily Life Mobility During an Exercise Intervention in Prostate Cancer Survivors Treated with Androgen Deprivation Therapy.新型仪器袜子在雄激素剥夺治疗的前列腺癌幸存者运动干预中检测日常生活活动变化的应用。
Semin Oncol Nurs. 2024 Aug;40(4):151658. doi: 10.1016/j.soncn.2024.151658. Epub 2024 Jun 19.
4
Protocol for GET FIT Prostate: a randomized, controlled trial of group exercise training for fall prevention and functional improvements during and after treatment for prostate cancer.GET FIT Prostate 方案:一项群组运动训练用于预防前列腺癌治疗期间和治疗后跌倒及改善功能的随机对照试验。
Trials. 2021 Nov 6;22(1):775. doi: 10.1186/s13063-021-05687-7.
5
Falls and Frailty in Prostate Cancer Survivors: Current, Past, and Never Users of Androgen Deprivation Therapy.前列腺癌幸存者中的跌倒与衰弱:雄激素剥夺治疗的当前使用者、既往使用者和从未使用者
J Am Geriatr Soc. 2017 Jul;65(7):1414-1419. doi: 10.1111/jgs.14795. Epub 2017 Mar 6.
6
Obese frailty, physical performance deficits, and falls in older men with biochemical recurrence of prostate cancer on androgen deprivation therapy: a case-control study.雄激素剥夺治疗后生化复发的老年男性前列腺癌患者的肥胖脆弱、身体机能缺陷和跌倒:病例对照研究。
Urology. 2011 Apr;77(4):934-40. doi: 10.1016/j.urology.2010.11.024. Epub 2011 Jan 26.
7
Changes in physical functioning and muscle strength in men receiving androgen deprivation therapy for prostate cancer: a controlled comparison.接受雄激素剥夺治疗的前列腺癌男性患者的身体功能和肌肉力量变化:一项对照比较研究。
Support Care Cancer. 2016 May;24(5):2201-2207. doi: 10.1007/s00520-015-3016-y. Epub 2015 Nov 13.
8
Mobility training for increasing mobility and functioning in older people with frailty.衰弱老年人的活动能力训练可提高其活动能力和功能。
Cochrane Database Syst Rev. 2022 Jun 30;6(6):CD010494. doi: 10.1002/14651858.CD010494.pub2.
9
Associations between performance-based and patient-reported physical functioning and real-world mobile sensor metrics in older cancer survivors: A pilot study.基于表现的和患者报告的身体功能与老年癌症幸存者真实世界移动传感器指标之间的关联:一项初步研究。
J Geriatr Oncol. 2024 Mar;15(2):101708. doi: 10.1016/j.jgo.2024.101708. Epub 2024 Jan 26.
10
Does androgen-deprivation therapy accelerate the development of frailty in older men with prostate cancer?: a conceptual review.雄激素剥夺疗法会加速老年前列腺癌男性患者虚弱状态的发展吗?:一项概念性综述。
Cancer. 2007 Dec 15;110(12):2604-13. doi: 10.1002/cncr.23084.

本文引用的文献

1
Targeting the Androgen Signaling Axis in Prostate Cancer.靶向前列腺癌的雄激素信号通路。
J Clin Oncol. 2023 Sep 10;41(26):4267-4278. doi: 10.1200/JCO.23.00433. Epub 2023 Jul 10.
2
Association of Second-generation Antiandrogens With Cognitive and Functional Toxic Effects in Randomized Clinical Trials: A Systematic Review and Meta-analysis.第二代抗雄激素与随机临床试验中认知和功能毒性作用的关联:系统评价和荟萃分析。
JAMA Oncol. 2023 Jul 1;9(7):930-937. doi: 10.1001/jamaoncol.2023.0998.
3
Balancing Treatment Benefits of Androgen-Receptor Signal Inhibitors and Quality of Life in Patients With Prostate Cancer.
权衡雄激素受体信号抑制剂对前列腺癌患者的治疗益处与生活质量
JAMA Oncol. 2023 Jul 1;9(7):938-939. doi: 10.1001/jamaoncol.2023.0982.
4
Pathological Gait Signatures of Post-stroke Dementia With Toe-Off and Heel-to-Ground Angles Discriminate From Alzheimer's Disease.通过离地趾尖和足跟触地角度区分中风后痴呆与阿尔茨海默病的病理性步态特征。
Front Aging Neurosci. 2021 Nov 18;13:766884. doi: 10.3389/fnagi.2021.766884. eCollection 2021.
5
Protocol for GET FIT Prostate: a randomized, controlled trial of group exercise training for fall prevention and functional improvements during and after treatment for prostate cancer.GET FIT Prostate 方案:一项群组运动训练用于预防前列腺癌治疗期间和治疗后跌倒及改善功能的随机对照试验。
Trials. 2021 Nov 6;22(1):775. doi: 10.1186/s13063-021-05687-7.
6
Gait Variability in Spinocerebellar Ataxia Assessed Using Wearable Inertial Sensors.使用可穿戴惯性传感器评估脊髓小脑共济失调患者的步态变异性。
Mov Disord. 2021 Dec;36(12):2922-2931. doi: 10.1002/mds.28740. Epub 2021 Aug 23.
7
Laboratory versus daily life gait characteristics in patients with multiple sclerosis, Parkinson's disease, and matched controls.实验室与多发性硬化症、帕金森病患者及匹配对照者日常生活步态特征比较。
J Neuroeng Rehabil. 2020 Dec 1;17(1):159. doi: 10.1186/s12984-020-00781-4.
8
Apalutamide and Overall Survival in Prostate Cancer.阿帕鲁胺与前列腺癌的总生存
Eur Urol. 2021 Jan;79(1):150-158. doi: 10.1016/j.eururo.2020.08.011. Epub 2020 Sep 6.
9
Enzalutamide and Survival in Nonmetastatic, Castration-Resistant Prostate Cancer.恩扎卢胺与非转移性去势抵抗性前列腺癌的生存。
N Engl J Med. 2020 Jun 4;382(23):2197-2206. doi: 10.1056/NEJMoa2003892. Epub 2020 May 29.
10
Digital Biomarkers of Mobility in Parkinson's Disease During Daily Living.帕金森病日常生活中的移动数字生物标志物。
J Parkinsons Dis. 2020;10(3):1099-1111. doi: 10.3233/JPD-201914.