Suppr超能文献

预测多发创伤患儿发生出血性休克的列线图。

A nomogram for predicting hemorrhagic shock in pediatric patients with multiple trauma.

机构信息

Department of Neonatal Surgery, Children's Hospital, Zhejiang University School of Medicine, National Clinical Research Center for Child Health, Hangzhou, 310052, China.

Department of Thoracic and Cardiovascular Surgery, Children's Hospital, Zhejiang University School of Medicine, National Clinical Research Center for Child Health, Hangzhou, 310052, China.

出版信息

Sci Rep. 2024 Jun 10;14(1):13308. doi: 10.1038/s41598-024-62376-6.

Abstract

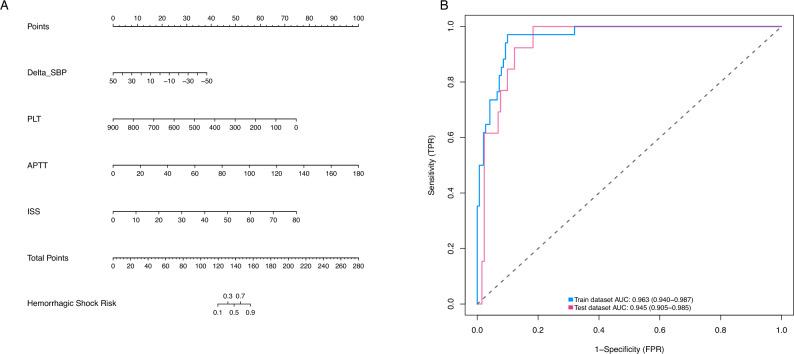
The timely detection and management of hemorrhagic shock hold paramount importance in clinical practice. This study was designed to establish a nomogram that may facilitate early identification of hemorrhagic shock in pediatric patients with multiple-trauma. A retrospective study was conducted utilizing a cohort comprising 325 pediatric patients diagnosed with multiple-trauma, who received treatment at the Children's Hospital, Zhejiang University School of Medicine, Zhejiang, China. For external validation, an additional cohort of 144 patients from a children's hospital in Taizhou was included. The model's predictor selection was optimized through the application of the Least Absolute  Shrinkage and Selection Operator (LASSO) regression. Subsequently, a prediction nomogram was constructed using multivariable logistic regression analysis. The performance and clinical utility of the developed model were comprehensively assessed utilizing various statistical metrics, including Harrell's Concordance Index (C-index), receiver operating characteristic (ROC) curve analysis, calibration curve analysis, and decision curve analysis (DCA). Multivariate logistic regression analysis identified systolic blood pressure (ΔSBP), platelet count, activated partial thromboplastin time (APTT), and injury severity score (ISS) as independent predictors for hemorrhagic shock. The nomogram constructed using these predictors demonstrated robust predictive capabilities, as evidenced by an impressive area under the curve (AUC) value of 0.963. The model's goodness-of-fit was assessed using the Hosmer-Lemeshow test (χ = 10.023, P = 0.209). Furthermore, decision curve analysis revealed significantly improved net benefits with the model. External validation further confirmed the reliability of the proposed predictive nomogram. This study successfully developed a nomogram for predicting the occurrence of hemorrhagic shock in pediatric patients with multiple trauma. This nomogram may serve as an accurate and effective tool for timely and efficient management of children with multiple trauma.

摘要

在临床实践中,及时检测和处理失血性休克至关重要。本研究旨在建立一个列线图,以帮助早期识别多发性创伤的儿科患者发生失血性休克。本研究采用回顾性队列研究方法,纳入了在浙江大学医学院附属儿童医院接受治疗的 325 名诊断为多发性创伤的儿科患者。为了进行外部验证,还纳入了来自台州一家儿童医院的另外 144 名患者。通过应用最小绝对收缩和选择算子(LASSO)回归优化模型的预测因子选择。随后,使用多变量逻辑回归分析构建预测列线图。通过各种统计指标,包括 Harrell 一致性指数(C 指数)、接收者操作特征(ROC)曲线分析、校准曲线分析和决策曲线分析(DCA),全面评估所开发模型的性能和临床实用性。多变量逻辑回归分析确定收缩压变化(ΔSBP)、血小板计数、活化部分凝血活酶时间(APTT)和损伤严重程度评分(ISS)为失血性休克的独立预测因子。使用这些预测因子构建的列线图表现出强大的预测能力,曲线下面积(AUC)值为 0.963。通过 Hosmer-Lemeshow 检验(χ2=10.023,P=0.209)评估模型的拟合优度。此外,决策曲线分析显示,该模型的净获益显著提高。外部验证进一步证实了所提出的预测列线图的可靠性。本研究成功建立了一个预测多发性创伤儿科患者发生失血性休克的列线图。该列线图可能成为及时有效地管理多发性创伤儿童的准确有效的工具。

https://cdn.ncbi.nlm.nih.gov/pmc/blobs/8923/11164856/27b17ed52b76/41598_2024_62376_Fig1_HTML.jpg

文献AI研究员

20分钟写一篇综述,助力文献阅读效率提升50倍。

立即体验

用中文搜PubMed

大模型驱动的PubMed中文搜索引擎

马上搜索

文档翻译

学术文献翻译模型,支持多种主流文档格式。

立即体验