Marchant Arnaud, Adali Sancar, Alsdurf Hannah, Bol Vanesa, Capelle Xavier, De Schrevel Nathalie, Delroisse Jean-Marc, Devlieger Roland, Dieussaert Ilse, Donner Catherine, Janssens Michel, Loquet Philip, Panackal Anil A, Seidl Claudia, van den Berg Robert A, Paris Robert
European Plotkin Institute for Vaccinology, Université libre de Bruxelles, Brussels, Belgium.
GSK, Rockville, Maryland, USA.
J Infect Dis. 2024 Dec 16;230(6):e1274-e1286. doi: 10.1093/infdis/jiae281.
Determinants of maternal-fetal cytomegalovirus (CMV) transmission and factors influencing the severity of congenital CMV (cCMV) infection are not well understood.
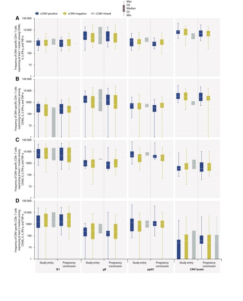
We conducted a descriptive, multicenter study in pregnant women ≥18 years old with primary CMV infection and their newborns to explore maternal immune responses to CMV and determine potential immunologic/virologic correlates of cCMV following primary infection during pregnancy. We developed alternative approaches looking into univariate/multivariate factors associated with cCMV, including a participant clustering/stratification approach and an interpretable predictive model-based approach using trained decision trees for risk prediction (post hoc analyses).
Pregnant women were grouped in 3 distinct clusters with similar baseline characteristics, particularly gestational age at diagnosis. We observed a trend for higher viral loads in urine and saliva samples from mothers of infants with cCMV versus without cCMV. When using a trained predictive-model approach that accounts for interaction effects between variables, anti-pentamer immunoglobulin G antibody concentration and viral load in saliva were identified as biomarkers jointly associated with the risk of maternal-fetal CMV transmission.
We identified biomarkers of CMV maternal-fetal transmission. After validation in larger studies, our findings will guide the management of primary infection during pregnancy and the development of vaccines against cCMV.
NCT01251744.
母婴巨细胞病毒(CMV)传播的决定因素以及影响先天性CMV(cCMV)感染严重程度的因素尚不清楚。
我们对年龄≥18岁的原发性CMV感染孕妇及其新生儿进行了一项描述性多中心研究,以探索孕妇对CMV的免疫反应,并确定孕期原发性感染后cCMV的潜在免疫/病毒学关联因素。我们开发了替代方法来研究与cCMV相关的单变量/多变量因素,包括参与者聚类/分层方法和基于可解释预测模型的方法,使用训练好的决策树进行风险预测(事后分析)。
孕妇被分为3个具有相似基线特征的不同聚类,尤其是诊断时的孕周。我们观察到,与未感染cCMV的婴儿的母亲相比,感染cCMV的婴儿的母亲的尿液和唾液样本中的病毒载量有升高趋势。当使用考虑变量间相互作用效应的训练有素的预测模型方法时,抗五聚体免疫球蛋白G抗体浓度和唾液中的病毒载量被确定为与母婴CMV传播风险共同相关的生物标志物。
我们确定了CMV母婴传播的生物标志物。在更大规模的研究中验证后,我们的发现将指导孕期原发性感染的管理以及抗cCMV疫苗的开发。
NCT01251744。