Suppr超能文献

脑电图中与兴奋性和抑制性神经活动比率相关的α活动包络分析。

Analysis of the alpha activity envelope in electroencephalography in relation to the ratio of excitatory to inhibitory neural activity.

作者信息

Sano Misako, Nishiura Yuko, Morikawa Izumi, Hoshino Aiko, Uemura Jun-Ichi, Iwatsuki Katsuyuki, Hirata Hitoshi, Hoshiyama Minoru

机构信息

Department of Preventive Rehabilitation Sciences, School of Health Sciences, Nagoya University, Nagoya, Japan.

Music Division, Nagoya University of the Arts, Kitanagoya, Japan.

出版信息

PLoS One. 2024 Jun 13;19(6):e0305082. doi: 10.1371/journal.pone.0305082. eCollection 2024.

Abstract

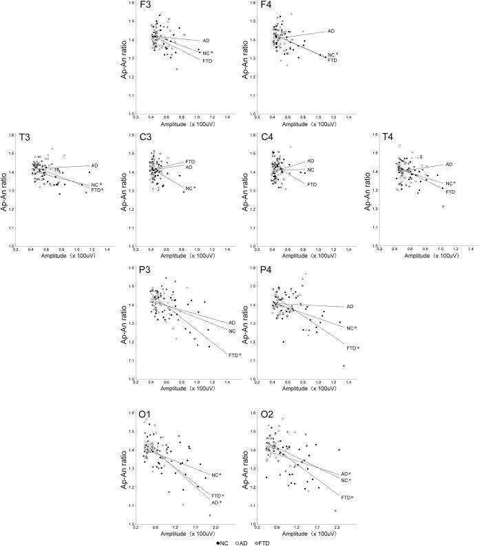
Alpha waves, one of the major components of resting and awake cortical activity in human electroencephalography (EEG), are known to show waxing and waning, but this phenomenon has rarely been analyzed. In the present study, we analyzed this phenomenon from the viewpoint of excitation and inhibition. The alpha wave envelope was subjected to secondary differentiation. This gave the positive (acceleration positive, Ap) and negative (acceleration negative, An) values of acceleration and their ratio (Ap-An ratio) at each sampling point of the envelope signals for 60 seconds. This analysis was performed on 36 participants with Alzheimer's disease (AD), 23 with frontotemporal dementia (FTD) and 29 age-matched healthy participants (NC) whose data were provided as open datasets. The mean values of the Ap-An ratio for 60 seconds at each EEG electrode were compared between the NC and AD/FTD groups. The AD (1.41 ±0.01 (SD)) and FTD (1.40 ±0.02) groups showed a larger Ap-An ratio than the NC group (1.38 ±0.02, p<0.05). A significant correlation between the envelope amplitude of alpha activity and the Ap-An ratio was observed at most electrodes in the NC group (Pearson's correlation coefficient, r = -0.92 ±0.15, mean for all electrodes), whereas the correlation was disrupted in AD (-0.09 ±0.21, p<0.05) and disrupted in the frontal region in the FTD group. The present method analyzed the envelope of alpha waves from a new perspective, that of excitation and inhibition, and it could detect properties of the EEG, Ap-An ratio, that have not been revealed by existing methods. The present study proposed a new method to analyze the alpha activity envelope in electroencephalography, which could be related to excitatory and inhibitory neural activity.

摘要

阿尔法波是人类脑电图(EEG)中静息和清醒皮质活动的主要组成部分之一,已知其呈现出增强和减弱的现象,但这一现象很少被分析。在本研究中,我们从兴奋和抑制的角度分析了这一现象。对阿尔法波包络进行二次微分。这给出了60秒内包络信号每个采样点的加速度正值(加速正,Ap)和负值(加速负,An)及其比值(Ap-An比值)。对36名阿尔茨海默病(AD)患者、23名额颞叶痴呆(FTD)患者和29名年龄匹配的健康参与者(NC)进行了该分析,他们的数据作为开放数据集提供。比较了NC组与AD/FTD组在每个EEG电极处60秒的Ap-An比值平均值。AD组(1.41±0.01(标准差))和FTD组(1.40±0.02)的Ap-An比值高于NC组(1.38±0.02,p<0.05)。在NC组的大多数电极上观察到阿尔法活动的包络幅度与Ap-An比值之间存在显著相关性(皮尔逊相关系数,r = -0.92±0.15,所有电极的平均值),而在AD组相关性被破坏(-0.09±0.21,p<0.05),在FTD组额叶区域相关性被破坏。本方法从兴奋和抑制的新角度分析了阿尔法波的包络,并且能够检测到现有方法尚未揭示的EEG特性,即Ap-An比值。本研究提出了一种分析脑电图中阿尔法活动包络的新方法,这可能与兴奋性和抑制性神经活动有关。

https://cdn.ncbi.nlm.nih.gov/pmc/blobs/e492/11175473/7066e4135b20/pone.0305082.g001.jpg

文献检索

告别复杂PubMed语法,用中文像聊天一样搜索,搜遍4000万医学文献。AI智能推荐,让科研检索更轻松。

立即免费搜索

文件翻译

保留排版,准确专业,支持PDF/Word/PPT等文件格式,支持 12+语言互译。

免费翻译文档

深度研究

AI帮你快速写综述,25分钟生成高质量综述,智能提取关键信息,辅助科研写作。

立即免费体验