• 文献检索
  • 文档翻译
  • 深度研究
  • 学术资讯
  • Suppr Zotero 插件Zotero 插件
  • 邀请有礼
  • 套餐&价格
  • 历史记录
应用&插件
Suppr Zotero 插件Zotero 插件浏览器插件Mac 客户端Windows 客户端微信小程序
定价
高级版会员购买积分包购买API积分包
服务
文献检索文档翻译深度研究API 文档MCP 服务
关于我们
关于 Suppr公司介绍联系我们用户协议隐私条款
关注我们

Suppr 超能文献

核心技术专利:CN118964589B侵权必究
粤ICP备2023148730 号-1Suppr @ 2026

文献检索

告别复杂PubMed语法,用中文像聊天一样搜索,搜遍4000万医学文献。AI智能推荐,让科研检索更轻松。

立即免费搜索

文件翻译

保留排版,准确专业,支持PDF/Word/PPT等文件格式,支持 12+语言互译。

免费翻译文档

深度研究

AI帮你快速写综述,25分钟生成高质量综述,智能提取关键信息,辅助科研写作。

立即免费体验

在重复冲刺运动期间进行持续的血流限制会增加外周但不是全身的生理和感知需求。

Continuous blood flow restriction during repeated-sprint exercise increases peripheral but not systemic physiological and perceptual demands.

机构信息

Physical Activity, Sport and Exercise (PHASE) Research Group, School of Allied Health (Exercise Science), Murdoch University, Perth, Western Australia, Australia.

Centre for Healthy Ageing, Murdoch University, Perth, Western Australia, Australia.

出版信息

Eur J Sport Sci. 2024 Jun;24(6):703-712. doi: 10.1002/ejsc.12106. Epub 2024 Mar 28.

DOI:10.1002/ejsc.12106
PMID:38874946
原文链接:https://pmc.ncbi.nlm.nih.gov/articles/PMC11235999/
Abstract

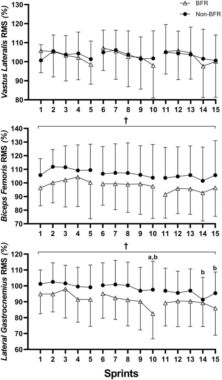
This study examined the impact of continuous blood flow restriction (BFR) during repeated-sprint exercise (RSE) on acute performance, peripheral, systemic physiological, and perceptual responses. In a randomized crossover design, 26 adult male semi-professional and amateur team-sport players completed two RSE sessions (3 sets of 5 × 5-s sprints with 25 s of passive recovery and 3 min of rest) with continuous BFR (45% arterial occlusion; excluding during between-set rest periods) or without (non-BFR). Mean and peak power output were significantly lower (p < 0.001) during BFR compared to non-BFR (d = 0.85 and 0.77, respectively). Minimum tissue saturation index during the sprints and rest periods was significantly reduced (p < 0.001) for BFR (d = 1.26 and 1.21, respectively). Electromyography root mean square was significantly decreased (p < 0.01) for biceps femoris and lateral gastrocnemius muscles during BFR (d = 0.35 and 0.79, respectively), but remained unchanged for the vastus lateralis muscle in both conditions. Oxygen consumption and minute ventilation were significantly reduced (both p < 0.01) for BFR (d = 1.46 and 0.43, respectively). Perceived limb discomfort was significantly higher (p < 0.001) for BFR (d = 0.78). No differences (p > 0.05) in blood lactate concentration or rating of perceived exertion were observed between conditions. Blood flow-restricted RSE reduced performance and likely increased the physiological and perceptual stimulus for the periphery with greater reliance on anaerobic glycolysis, despite comparable or decreased systemic demands.

摘要

本研究旨在探讨在重复冲刺运动(RSE)期间持续血流限制(BFR)对急性运动表现、外周、全身生理和感知反应的影响。采用随机交叉设计,26 名成年男性半职业和业余团队运动运动员完成了两次 RSE 训练(3 组 5×5 秒冲刺,25 秒被动恢复和 3 分钟休息),分别采用持续 BFR(动脉闭塞 45%;不包括组间休息期间)或不采用 BFR(非 BFR)。与非 BFR 相比,BFR 时平均和峰值功率输出显著降低(p<0.001;d 值分别为 0.85 和 0.77)。冲刺和休息期间的最小组织饱和度指数也显著降低(p<0.001;BFR 时的 d 值分别为 1.26 和 1.21)。BFR 时股二头肌和外侧比目鱼肌的肌电图均方根显著降低(p<0.01;d 值分别为 0.35 和 0.79),但在两种情况下,股外侧肌的肌电图均方根均无变化。BFR 时耗氧量和分钟通气量显著降低(均 p<0.01;d 值分别为 1.46 和 0.43)。BFR 时肢体不适感明显更高(p<0.001;d 值为 0.78)。两种情况下血乳酸浓度或主观用力程度评分均无差异(p>0.05)。血流限制的 RSE 降低了运动表现,可能增加了外周的生理和感知刺激,同时更多地依赖于无氧糖酵解,尽管全身需求相当或降低。

https://cdn.ncbi.nlm.nih.gov/pmc/blobs/13cb/11235999/bf89942dc141/EJSC-24-703-g001.jpg
https://cdn.ncbi.nlm.nih.gov/pmc/blobs/13cb/11235999/1d182fc662d8/EJSC-24-703-g002.jpg
https://cdn.ncbi.nlm.nih.gov/pmc/blobs/13cb/11235999/bf89942dc141/EJSC-24-703-g001.jpg
https://cdn.ncbi.nlm.nih.gov/pmc/blobs/13cb/11235999/1d182fc662d8/EJSC-24-703-g002.jpg
https://cdn.ncbi.nlm.nih.gov/pmc/blobs/13cb/11235999/bf89942dc141/EJSC-24-703-g001.jpg

相似文献

1
Continuous blood flow restriction during repeated-sprint exercise increases peripheral but not systemic physiological and perceptual demands.在重复冲刺运动期间进行持续的血流限制会增加外周但不是全身的生理和感知需求。
Eur J Sport Sci. 2024 Jun;24(6):703-712. doi: 10.1002/ejsc.12106. Epub 2024 Mar 28.
2
Manipulating Internal and External Loads During Repeated Cycling Sprints: A Comparison of Continuous and Intermittent Blood Flow Restriction.重复自行车冲刺过程中内部和外部负荷的调控:持续与间歇性血流限制的比较
J Strength Cond Res. 2024 Jan 1;38(1):47-54. doi: 10.1519/JSC.0000000000004594. Epub 2023 Oct 27.
3
Application of blood flow restriction in hypoxic environment augments muscle deoxygenation without compromising repeated sprint exercise performance.在低氧环境中应用血流限制会增加肌肉缺氧程度,但不会影响重复冲刺运动表现。
Exp Physiol. 2023 May;108(5):728-739. doi: 10.1113/EP091032. Epub 2023 Mar 19.
4
Augmented muscle deoxygenation during repeated sprint exercise with post-exercise blood flow restriction.在运动后血流限制下进行重复冲刺运动时,肌肉的去氧作用增强。
Physiol Rep. 2022 May;10(10):e15294. doi: 10.14814/phy2.15294.
5
Impact of systemic hypoxia and blood flow restriction on mechanical, cardiorespiratory, and neuromuscular responses to a multiple-set repeated sprint exercise.全身性低氧和血流限制对多次重复冲刺运动的机械、心肺及神经肌肉反应的影响。
Front Physiol. 2024 Jan 31;15:1339284. doi: 10.3389/fphys.2024.1339284. eCollection 2024.
6
Acute performance, physiological, and perceptual changes in response to repeated cycling sprint exercise combined with systemic and local hypoxia in young males.年轻男性反复循环冲刺运动结合全身和局部缺氧时的急性表现、生理和知觉变化。
Physiol Behav. 2023 Aug 1;267:114217. doi: 10.1016/j.physbeh.2023.114217. Epub 2023 Apr 29.
7
Repeated-Sprint Training With Blood-Flow Restriction Improves Repeated-Sprint Ability Similarly to Unrestricted Training at Reduced External Loads.血流限制的重复冲刺训练在降低外部负荷下与无限制训练一样能提高重复冲刺能力。
Int J Sports Physiol Perform. 2023 Dec 28;19(3):257-264. doi: 10.1123/ijspp.2023-0321. Print 2024 Mar 1.
8
Blood flow restriction during self-paced aerobic intervals reduces mechanical and cardiovascular demands without modifying neuromuscular fatigue.在自主进行的有氧间歇期间进行血流限制会降低机械和心血管需求,而不会改变神经肌肉疲劳。
Eur J Sport Sci. 2023 May;23(5):755-765. doi: 10.1080/17461391.2022.2062056. Epub 2022 May 14.
9
Exercise responses to repeated cycle sprints with continuous and intermittent hypoxic exposure.连续和间歇低氧暴露下重复循环冲刺的运动反应。
Eur J Sport Sci. 2024 Aug;24(8):1045-1055. doi: 10.1002/ejsc.12146. Epub 2024 Jun 14.
10
Effects of Running Exercise Combined With Blood Flow Restriction on Strength and Sprint Performance.跑台运动结合血流限制对力量和短跑成绩的影响。
J Strength Cond Res. 2021 Nov 1;35(11):3090-3096. doi: 10.1519/JSC.0000000000003313.

引用本文的文献

1
Examination of neuromuscular and tissue oxygenation characteristics during submaximal treadmill running with blood flow restriction.在血流限制的次最大强度跑步机跑步过程中对神经肌肉和组织氧合特征的检查。
Eur J Appl Physiol. 2025 Jul 9. doi: 10.1007/s00421-025-05886-z.
2
Evolving blood flow restriction training.不断发展的血流限制训练。
Exp Physiol. 2025 Jun;110(6):781-783. doi: 10.1113/EP092255. Epub 2025 Feb 9.

本文引用的文献

1
Repeated-Sprint Training With Blood-Flow Restriction Improves Repeated-Sprint Ability Similarly to Unrestricted Training at Reduced External Loads.血流限制的重复冲刺训练在降低外部负荷下与无限制训练一样能提高重复冲刺能力。
Int J Sports Physiol Perform. 2023 Dec 28;19(3):257-264. doi: 10.1123/ijspp.2023-0321. Print 2024 Mar 1.
2
Manipulating Internal and External Loads During Repeated Cycling Sprints: A Comparison of Continuous and Intermittent Blood Flow Restriction.重复自行车冲刺过程中内部和外部负荷的调控:持续与间歇性血流限制的比较
J Strength Cond Res. 2024 Jan 1;38(1):47-54. doi: 10.1519/JSC.0000000000004594. Epub 2023 Oct 27.
3
Rating of perceived effort but relative to what? A comparison between imposed and self-selected anchors.
感知努力程度的评定,但相对于什么?强制和自我选择的锚定之间的比较。
Psychol Sport Exerc. 2023 May;66:102396. doi: 10.1016/j.psychsport.2023.102396. Epub 2023 Jan 26.
4
Acute performance, physiological, and perceptual changes in response to repeated cycling sprint exercise combined with systemic and local hypoxia in young males.年轻男性反复循环冲刺运动结合全身和局部缺氧时的急性表现、生理和知觉变化。
Physiol Behav. 2023 Aug 1;267:114217. doi: 10.1016/j.physbeh.2023.114217. Epub 2023 Apr 29.
5
Application of blood flow restriction in hypoxic environment augments muscle deoxygenation without compromising repeated sprint exercise performance.在低氧环境中应用血流限制会增加肌肉缺氧程度,但不会影响重复冲刺运动表现。
Exp Physiol. 2023 May;108(5):728-739. doi: 10.1113/EP091032. Epub 2023 Mar 19.
6
Effects of Different Pedaling Positions on Muscle Usage and Energy Expenditure in Amateur Cyclists.不同踏蹬位置对业余自行车运动员肌肉使用和能量消耗的影响。
Int J Environ Res Public Health. 2022 Sep 23;19(19):12046. doi: 10.3390/ijerph191912046.
7
Effects of short-term repeated sprint training in hypoxia or with blood flow restriction on response to exercise.短期重复冲刺训练在低氧或血流限制下对运动反应的影响。
J Physiol Anthropol. 2022 Sep 3;41(1):32. doi: 10.1186/s40101-022-00304-1.
8
Repeated-sprint training in heat and hypoxia: Acute responses to manipulating exercise-to-rest ratio.在热和低氧环境下进行重复冲刺训练:对调整运动与休息比例的急性反应。
Eur J Sport Sci. 2023 Jul;23(7):1175-1185. doi: 10.1080/17461391.2022.2085631. Epub 2022 Sep 12.
9
Augmented muscle deoxygenation during repeated sprint exercise with post-exercise blood flow restriction.在运动后血流限制下进行重复冲刺运动时,肌肉的去氧作用增强。
Physiol Rep. 2022 May;10(10):e15294. doi: 10.14814/phy2.15294.
10
Acute Effect of Repeated Sprint Exercise With Blood Flow Restriction During Rest Periods on Muscle Oxygenation.休息期间进行重复冲刺运动并结合血流限制对肌肉氧合的急性影响。
Front Physiol. 2021 Jul 29;12:665383. doi: 10.3389/fphys.2021.665383. eCollection 2021.