Suppr超能文献

非洲孕妇对COVID-19的知识、态度和行为:一项系统评价和荟萃分析。

Knowledge, attitude and practice towards COVID-19 among pregnant women in Africa: A systematic review and meta-analysis.

作者信息

Lemma Tesfanesh, Silesh Mulualem, Taye Birhan Tsegaw, Desta Kelem, Moltot Tebabere, Melisew Abebayehu, Sisay Mages, Zeneb Wegayehu, Dagnaw Yalemtsehay

机构信息

Department of Midwifery, Asrat Woldeyes Health Science Campus, Debre Berhan University, Debre Berhan, Ethiopia.

Department of Nursing, Mizan Tepi University, Mizan Tepi, Ethiopia.

出版信息

Heliyon. 2024 May 25;10(11):e31926. doi: 10.1016/j.heliyon.2024.e31926. eCollection 2024 Jun 15.

Abstract

BACKGROUND

Pregnant women and recent mothers face a higher risk of severe illness from Coronavirus disease 2019 due to physiological and immunological shifts during pregnancy, rendering them more vulnerable to inflammatory lung conditions. This susceptibility poses serious threats to both maternal and newborn health. Therefore, it is imperative for pregnant women to be fully informed about Coronavirus disease 2019 and to implement preventive measures. This study aimed to evaluate the collective knowledge, attitudes, and practices related to Coronavirus disease 2019 among pregnant women across Africa.

METHODS

The researchers collected studies from multiple databases, including Pub Med/MEDLINE, EMBASE, CINAHL, Science Direct, Scopus, Web of Science, Cochran library, and Google Scholar. A combination of search terms and Boolean operators were utilized to gather relevant literature. Each study underwent quality assessment by five authors independently, using the modified Newcastle Ottawa Scale tailored for cross-sectional research. Statistical analysis was conducted using STATA™ Version 11 software, and meta-analysis was performed using the random-effects (Der Simonian and Laird) method. Heterogeneity was evaluated using I-squared (I) statistics, and a one-out sensitivity analysis was carried out.

RESULTS

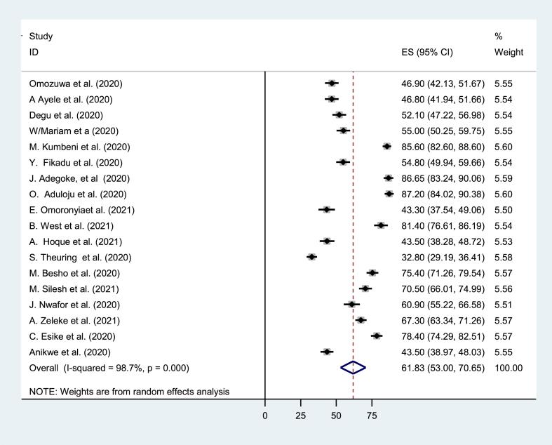
This systematic review and meta-analysis included 19 articles, involving a total of 7852 participants. It revealed that the combined estimated prevalence of good knowledge about Coronavirus disease 2019, positive attitudes, and good practices among pregnant women was found to be 61.8 % (95 % CI: 53.0%-70.65 %; I = 98.7 %), 51.7 % (95 % CI: 30.34%-73.6 %; I = 99.3 %), and 52.31 % (95 % CI: 41.48%-63.15 %; I = 98.8 %) respectively.

CONCLUSION

This study emphasizes a significant concern: pregnant women exhibit a notable lack of knowledge, positive attitudes, and preventive practices regarding Coronavirus disease 2019. Considering their heightened vulnerability, urgent action is required to improve their understanding, attitudes, and behaviours related to the virus. Healthcare professionals should take proactive measures to educate pregnant women, addressing this crucial gap through various strategies.

摘要

背景

由于孕期生理和免疫变化,孕妇及刚分娩的产妇感染2019冠状病毒病后患重症的风险更高,这使她们更容易患炎症性肺部疾病。这种易感性对孕产妇和新生儿的健康都构成严重威胁。因此,必须让孕妇充分了解2019冠状病毒病并采取预防措施。本研究旨在评估非洲孕妇对2019冠状病毒病的综合知识、态度和行为。

方法

研究人员从多个数据库收集研究,包括PubMed/MEDLINE、EMBASE、CINAHL、Science Direct、Scopus、Web of Science、Cochran图书馆和谷歌学术。使用搜索词和布尔运算符的组合来收集相关文献。每项研究由五名作者独立使用为横断面研究量身定制的改良纽卡斯尔渥太华量表进行质量评估。使用STATA™ 11版软件进行统计分析,并使用随机效应(Der Simonian和Laird)方法进行荟萃分析。使用I²(I)统计量评估异质性,并进行逐一敏感性分析。

结果

该系统评价和荟萃分析纳入19篇文章,共涉及7852名参与者。结果显示,孕妇对2019冠状病毒病的良好知识、积极态度和良好行为的综合估计患病率分别为61.8%(95%CI:53.0%-70.65%;I=98.7%)、51.7%(95%CI:30.34%-73.6%;I=99.3%)和52.31%(95%CI:41.48%-63.15%;I=98.8%)。

结论

本研究强调了一个重大问题:孕妇对2019冠状病毒病的知识、积极态度和预防行为明显不足。鉴于她们更高的易感性,需要采取紧急行动来提高她们对该病毒的理解、态度和行为。医疗保健专业人员应采取积极措施对孕妇进行教育,通过各种策略填补这一关键差距。

https://cdn.ncbi.nlm.nih.gov/pmc/blobs/cd99/11177136/98b7fc291e72/gr1.jpg

文献AI研究员

20分钟写一篇综述,助力文献阅读效率提升50倍。

立即体验

用中文搜PubMed

大模型驱动的PubMed中文搜索引擎

马上搜索

文档翻译

学术文献翻译模型,支持多种主流文档格式。

立即体验