Suppr超能文献

超声检测到的小肾血管平滑肌脂肪瘤的自然病史与管理

Natural History and Management of Ultrasound-detected Small Renal Angiomyolipoma.

作者信息

Kobayashi Minoru, Yokoyama Megumi, Yuki Hideo, Kamai Takao

机构信息

Department of Urology, Utsunomiya Memorial Hospital, Utsunomiya, Tochigi, Japan.

Department of Urology, Dokkyo Medical University Nikko Medical Center, Nikko, Tochigi, Japan.

出版信息

J Med Ultrasound. 2024 Jan 10;32(2):154-160. doi: 10.4103/jmu.jmu_73_23. eCollection 2024 Apr-Jun.

Abstract

BACKGROUND

Recent advances in imaging methods increased the incidental detection of small renal angiomyolipoma (AML). However, guidelines for managing small AML are lacking, and decisions about imaging frequency and timing of intervention are made on an individual basis. This study aims to investigate the clinical behavior of small sporadic AML and propose an optimal follow-up strategy.

METHODS

The study is a retrospective analysis of 168 individuals who had hyperechoic lesions, suggestive of AML detected during abdominal ultrasound as a part of their health checkup. The clinical information of the individuals, including tumor characteristics and renal function, was reviewed. Statistical analysis was performed to identify factors associated with tumor growth and renal function.

RESULTS

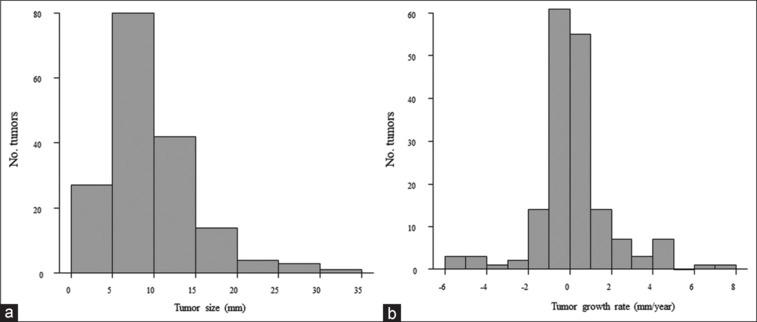
Most AMLs were small (≤20 mm) and did not exhibit malignant characteristics. The tumors showed a slow growth rate, with a mean growth rate of 0.24 mm/year. Only a small proportion of cases (1.2%) required intervention due to significant enlargement. Factors such as tumor size and gender were not significantly associated with tumor growth rate or renal function. However, younger patients showed a higher tumor growth rate and a more pronounced decline in renal function.

CONCLUSION

Small sporadic AMLs have a slow growth rate and little risk of malignancy. Neither tumor size nor gender was predictive factors for tumor growth or renal function. Nevertheless, close monitoring of tumor growth and renal function is advised, particularly in younger patients. This study highlights the need for further research and guidelines to establish an optimal surveillance protocol for small AMLs.

摘要

背景

成像方法的最新进展增加了小肾血管平滑肌脂肪瘤(AML)的偶然检出率。然而,目前缺乏小AML的管理指南,关于成像频率和干预时机的决策是基于个体情况做出的。本研究旨在调查散发性小AML的临床行为,并提出最佳的随访策略。

方法

本研究是一项回顾性分析,纳入了168例在腹部超声检查(作为健康体检的一部分)时发现有提示AML的高回声病变的个体。回顾了这些个体的临床信息,包括肿瘤特征和肾功能。进行统计分析以确定与肿瘤生长和肾功能相关的因素。

结果

大多数AML较小(≤20mm),未表现出恶性特征。肿瘤生长缓慢,平均生长速度为0.24mm/年。只有一小部分病例(1.2%)因肿瘤显著增大而需要干预。肿瘤大小和性别等因素与肿瘤生长速度或肾功能无显著相关性。然而,年轻患者的肿瘤生长速度较高,肾功能下降更为明显。

结论

散发性小AML生长缓慢,恶性风险低。肿瘤大小和性别均不是肿瘤生长或肾功能的预测因素。尽管如此,建议密切监测肿瘤生长和肾功能,尤其是在年轻患者中。本研究强调需要进一步研究并制定指南,以建立小AML的最佳监测方案。

https://cdn.ncbi.nlm.nih.gov/pmc/blobs/9884/11175373/ea8bcab8776c/JMU-32-154-g001.jpg

文献AI研究员

20分钟写一篇综述,助力文献阅读效率提升50倍。

立即体验

用中文搜PubMed

大模型驱动的PubMed中文搜索引擎

马上搜索

文档翻译

学术文献翻译模型,支持多种主流文档格式。

立即体验