Molecular Imaging and Therapy Research Group (MITH), Department of Biomedical Sciences, Vrije Universiteit Brussel, Laarbeeklaan 103/K0, 1090 Brussels, Belgium.
Laboratory for Molecular and Cellular Therapy (LMCT), Translational Oncology Research Center, Department of Biomedical Sciences, Vrije Universiteit Brussel, Laarbeeklaan 103/E2, 1090 Brussels, Belgium.
Int J Mol Sci. 2024 May 22;25(11):5634. doi: 10.3390/ijms25115634.
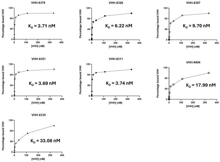
CAR-T cell therapy is at the forefront of next-generation multiple myeloma (MM) management, with two B-cell maturation antigen (BCMA)-targeted products recently approved. However, these products are incapable of breaking the infamous pattern of patient relapse. Two contributing factors are the use of BCMA as a target molecule and the artificial scFv format that is responsible for antigen recognition. Tackling both points of improvement in the present study, we used previously characterized VHHs that specifically target the idiotype of murine 5T33 MM cells. This idiotype represents one of the most promising yet challenging MM target antigens, as it is highly cancer- but also patient-specific. These VHHs were incorporated into VHH-based CAR modules, the format of which has advantages compared to scFv-based CARs. This allowed a side-by-side comparison of the influence of the targeting domain on T cell activation. Surprisingly, VHHs previously selected as lead compounds for targeted MM radiotherapy are not the best (CAR-) T cell activators. Moreover, the majority of the evaluated VHHs are incapable of inducing any T cell activation. As such, we highlight the importance of specific VHH selection, depending on its intended use, and thereby raise an important shortcoming of current common CAR development approaches.
嵌合抗原受体 T 细胞(CAR-T)疗法是新一代多发性骨髓瘤(MM)治疗的前沿,最近有两种针对 B 细胞成熟抗原(BCMA)的产品获得批准。然而,这些产品并不能打破患者复发的恶名模式。两个促成因素是将 BCMA 用作靶分子和负责抗原识别的人工 scFv 格式。在本研究中,我们针对这两点进行了改进,使用了之前经过表征的、特异性针对鼠 5T33 MM 细胞独特型的 VHH。这种独特型是最有前途但也最具挑战性的 MM 靶抗原之一,因为它高度特异性地存在于肿瘤细胞上,同时也存在于患者体内。这些 VHH 被整合到基于 VHH 的 CAR 模块中,与基于 scFv 的 CAR 相比,这种格式具有优势。这允许对靶向域对 T 细胞激活的影响进行并排比较。令人惊讶的是,之前被选为针对 MM 放射治疗的靶向先导化合物的 VHH 并不是最佳的(CAR-)T 细胞激活剂。此外,评估的大多数 VHH 都不能诱导任何 T 细胞激活。因此,我们强调了根据预期用途进行特定 VHH 选择的重要性,并由此凸显了当前常见的 CAR 开发方法的一个重要缺陷。