Zhou Bingnan, Zheng Cunai, Zhang Ruanquan, Xue Shuyuan, Zheng Botuo, Shen Hang, Sheng Yu, Zhang Huagui
Fujian Province Key Laboratory of Polymer Science, College of Chemistry and Materials Science, Fujian Normal University, Fuzhou 350007, China.
College of Materials and Chemical Engineering, Minjiang University, Fuzhou 350108, China.
Molecules. 2024 May 28;29(11):2539. doi: 10.3390/molecules29112539.
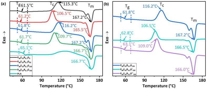
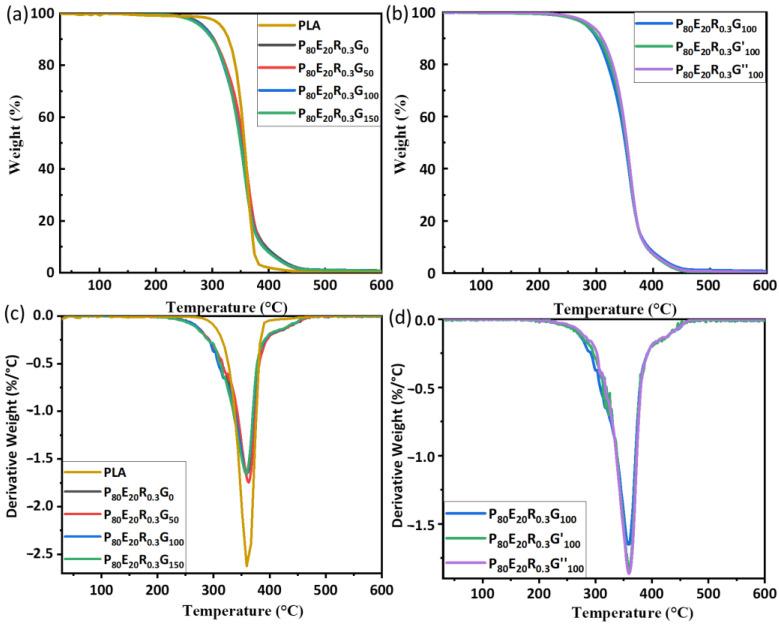
Being a bio-sourced and biodegradable polymer, polylactic acid (PLA) has been considered as one of the most promising substitutes for petroleum-based plastics. However, its wide application is greatly limited by its very poor ductility, which has driven PLA-toughening modifications to be a topic of increasing research interest in the past decade. Toughening enhancement is achieved often at the cost of a large sacrifice in strength, with the toughness-strength trade-off having remained as one of the main bottlenecks of PLA modification. In the present study, a bio-elastomeric material of epoxidized soybean oil (ESO) crosslinked with sebacic acid (SA) and enhanced by graphene oxide (GO) nanoparticles (NPs) was employed to toughen PLA with the purpose of simultaneously preserving strength and achieving additional functions. The even dispersion of GO NPs in ESO was aided by ultrasonication and guaranteed during the following ESO-SA crosslinking with GO participating in the carboxyl-epoxy reaction with both ESO and SA, resulting in a nanoparticle-enhanced and dynamically crosslinked elastomer (GESO) via a β-hydroxy ester. GESO was then melt-blended with PLA, with the interfacial reaction between ESO and PLA offering good compatibility. The blend morphology, and thermal and mechanical properties, etc., were evaluated and GESO was found to significantly toughen PLA while preserving its strength, with the GO loading optimized at ~0.67 wt%, which gave an elongation at break of ~274.5% and impact strength of ~10.2 kJ/m, being 31 times and 2.5 times higher than pure PLA, respectively. Moreover, thanks to the presence of dynamic crosslinks and GO NPs, the PLA-GESO blends exhibited excellent shape memory effect and antistatic properties.
作为一种生物基且可生物降解的聚合物,聚乳酸(PLA)被认为是石油基塑料最有前途的替代品之一。然而,其非常差的延展性极大地限制了它的广泛应用,这使得聚乳酸增韧改性在过去十年中成为一个研究兴趣日益增加的话题。增韧增强通常是以强度的大幅牺牲为代价实现的,韧性-强度权衡一直是聚乳酸改性的主要瓶颈之一。在本研究中,一种用癸二酸(SA)交联并通过氧化石墨烯(GO)纳米颗粒(NPs)增强的环氧化大豆油(ESO)生物弹性体材料被用于增韧聚乳酸,目的是在保持强度的同时实现额外功能。通过超声处理辅助GO NPs在ESO中均匀分散,并在随后的ESO-SA交联过程中确保GO参与与ESO和SA的羧基-环氧反应,通过β-羟基酯生成纳米颗粒增强的动态交联弹性体(GESO)。然后将GESO与聚乳酸熔融共混,ESO与聚乳酸之间的界面反应提供了良好的相容性。对共混物的形态、热性能和力学性能等进行了评估,发现GESO能显著增韧聚乳酸同时保持其强度,GO的负载量在约0.67 wt%时达到最佳,此时断裂伸长率约为274.5%,冲击强度约为10.2 kJ/m,分别比纯聚乳酸高31倍和2.5倍。此外,由于存在动态交联和GO NPs,聚乳酸-GESO共混物表现出优异的形状记忆效应和抗静电性能。