Suppr超能文献

颈动脉超声参数联合心外膜脂肪层厚度在冠心病中的早期诊断价值

Early diagnostic value of carotid artery ultrasound parameters combined with epicardial adipose layer thickness in coronary heart disease.

作者信息

Xu Min, Lu Zhao-Yang

机构信息

Department of Ultrasound, Suzhou Ninth People's Hospital, Suzhou 215200, Jiangsu Province, China.

出版信息

World J Clin Cases. 2024 Jun 16;12(17):3004-3011. doi: 10.12998/wjcc.v12.i17.3004.

Abstract

BACKGROUND

Coronary heart disease is associated with coronary atherosclerosis indicated by carotid intima-media thickness (CIMT) thickening and altered vascular elasticity. The epicardial adipose layer can secrete proinflammatory factors that promote the formation of coronary atherosclerosis. Thus, the epicardial fat layer thickness (EAT) may also predict coronary heart disease.

AIM

To determine the role of common carotid artery ultrasound parameters and EAT in the early diagnosis of coronary artery disease.

METHODS

Based on coronary angiography, patients with newly suspected coronary heart disease were divided into case ( = 107) and control ( = 41) groups. The carotid ultrasound parameters, including vascular stiffness (β), elastic coefficient (EP), pulse wave conduction velocity (PWV-β), CIMT, and EAT were compared between the case and control groups and among patients with different lesion numbers in the case group. Pearson correlation was used to evaluate the early diagnostic value of EAT, common carotid artery elasticity, and CIMT for coronary heart disease.

RESULTS

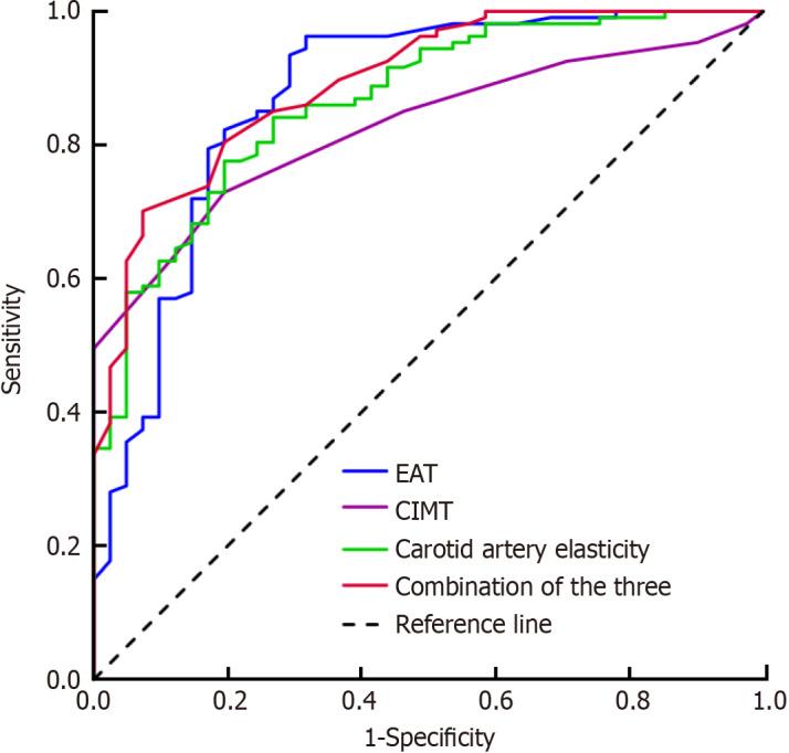
EP, β, PWV-β, CIMT, and EAT were significantly higher in the case group compared with the levels in the control group (all < 0.001). In the case group, lesions were detected in one vessel in 34 patients, two vessels in 38 patients, and three vessels in 35 patients. Within the case group, β, EP, PWV-β, CIMT, and EAT levels significantly increased with an increased number of lesions (all < 0.001). EAT positively correlated with β, EP, PWV-β, and CIMT (all < 0.01). The area under the curve for diagnosing coronary heart disease using EAT combined with CIMT and carotid elasticity was 0.893, and the sensitivity and specificity were 0.890 and 0.837.

CONCLUSION

EAT correlated well with changes in carotid artery elasticity and CIMT in patients with coronary heart disease. The combination of EAT, carotid artery elasticity, and CIMT facilitates the early diagnosis of coronary heart disease.

摘要

背景

冠心病与冠状动脉粥样硬化相关,其表现为颈动脉内膜中层厚度(CIMT)增厚和血管弹性改变。心外膜脂肪层可分泌促炎因子,促进冠状动脉粥样硬化的形成。因此,心外膜脂肪层厚度(EAT)也可能预测冠心病。

目的

确定颈总动脉超声参数和EAT在冠心病早期诊断中的作用。

方法

根据冠状动脉造影,将新怀疑患有冠心病的患者分为病例组(n = 107)和对照组(n = 41)。比较病例组和对照组之间以及病例组中不同病变数量患者的颈动脉超声参数,包括血管硬度(β)、弹性系数(EP)、脉搏波传导速度(PWV-β)、CIMT和EAT。采用Pearson相关性分析评估EAT、颈总动脉弹性和CIMT对冠心病的早期诊断价值。

结果

与对照组相比,病例组的EP、β、PWV-β、CIMT和EAT显著更高(均P < 0.001)。病例组中,34例患者单支血管有病变,38例患者双支血管有病变,35例患者三支血管有病变。在病例组内,β、EP、PWV-β、CIMT和EAT水平随病变数量增加而显著升高(均P < 0.001)。EAT与β、EP、PWV-β和CIMT呈正相关(均P < 0.01)。使用EAT联合CIMT和颈动脉弹性诊断冠心病的曲线下面积为0.893,灵敏度和特异度分别为0.890和0.837。

结论

冠心病患者的EAT与颈动脉弹性和CIMT的变化密切相关。EAT、颈动脉弹性和CIMT联合应用有助于冠心病的早期诊断。

https://cdn.ncbi.nlm.nih.gov/pmc/blobs/1d41/11185360/a76b9a33b95e/WJCC-12-3004-g001.jpg

文献AI研究员

20分钟写一篇综述,助力文献阅读效率提升50倍。

立即体验

用中文搜PubMed

大模型驱动的PubMed中文搜索引擎

马上搜索

文档翻译

学术文献翻译模型,支持多种主流文档格式。

立即体验