Suppr超能文献

SARS-CoV-2 mRNA 疫苗(奥密克戎 BA.5)LVRNA012 的有效性、安全性和免疫原性:一项随机、双盲、安慰剂对照的 3 期临床试验。

Efficacy, safety, and immunogenicity of SARS-CoV-2 mRNA vaccine (Omicron BA.5) LVRNA012: a randomized, double-blind, placebo-controlled phase 3 trial.

机构信息

Clinical Trial Center, The First Affiliated Hospital of Bengbu Medical College, Bengbu, Anhui, China.

School of Clinical Trial Technology, Anqing Medical College, Anqing, Anhui, China.

出版信息

Front Immunol. 2024 Jun 6;15:1407826. doi: 10.3389/fimmu.2024.1407826. eCollection 2024.

Abstract

BACKGROUND

We aimed to evaluate the efficacy, safety, and immunogenicity of a SARS-CoV-2 mRNA vaccine (Omicron BA.5) LVRNA012 given as the booster in immunized but SARS-CoV-2 infection-free adults in China.

METHODS

This is a single-center, randomized, double-blind, placebo-controlled phase 3 clinical trial enrolling healthy adult participants (≥18 years) who had completed two or three doses of inactivated COVID-19 vaccines at least 6 months before, in Bengbu, Anhui province, China. Eligible participants were randomly assigned (1:1) to receive a booster intramuscular vaccination with an LVRNA012 vaccine (100ug) or placebo. The primary endpoint was the protective efficacy of a booster dose of the LVRNA012 vaccine or placebo against symptomatic COVID-19 of any severity 14 days after vaccination. Laboratory-confirmed COVID-19 infections were identified from 14 days to 180 days after intervention, with active surveillance for symptomatic illness 8 times per month between 7 to 90 days and at least once per month between 90 to 180 days after intervention.

RESULTS

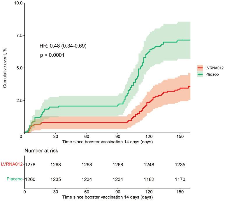
2615 participants were recruited and randomly assigned in a 1:1 ratio to either the vaccine group (1308) or the placebo group (1307). A total of 141 individuals (46 in the LVRNA012 group and 95 in the placebo group) developed symptomatic COVID-19 infection 14 days after the booster immunization, showing a vaccine efficacy of 51.9% (95% CI, 31.3% to 66.4%). Most infections were detected 90 days after intervention during a period when XBB was prevalent in the community. Adverse reactions were reported by 64% of participants after the LVRNA012 vaccination, but most of them were mild or moderate. The booster vaccination with the LVRNA012 mRNA vaccine could significantly enhance neutralizing antibody titers against the Omicron variant XBB.1.5 (GMT 132.3 [99.8, 175.4]) than did those in the placebo group (GMT 12.5 [8.4, 18.7]) at day 14 for the previously immunized individuals.

CONCLUSION

The LVRNA012 mRNA vaccine is immunogenic, and shows robust efficacy in preventing COVID-19 during the omicron-predominate period.

CLINICAL TRIAL REGISTRATION

ClinicalTrials.gov, identifier NCT05745545.

摘要

背景

我们旨在评估一种 SARS-CoV-2 mRNA 疫苗(Omicron BA.5)LVRNA012 作为加强针在已免疫但无 SARS-CoV-2 感染的中国成年人中的疗效、安全性和免疫原性。

方法

这是一项在中国安徽省蚌埠市进行的单中心、随机、双盲、安慰剂对照的 3 期临床试验,纳入了至少在 6 个月前完成了两剂或三剂灭活 COVID-19 疫苗的健康成年参与者(≥18 岁)。符合条件的参与者被随机分配(1:1)接受 LVRNA012 疫苗(100μg)或安慰剂的肌肉内加强免疫接种。主要终点是 LVRNA012 疫苗或安慰剂加强剂量对任何严重程度的有症状 COVID-19 的保护效力,接种后 14 天进行评估。实验室确诊的 COVID-19 感染从干预后 14 天至 180 天进行识别,在干预后 7 至 90 天内每月进行 8 次症状性疾病的主动监测,在 90 至 180 天内至少每月监测一次。

结果

共招募了 2615 名参与者,并以 1:1 的比例随机分配至疫苗组(1308 名)或安慰剂组(1307 名)。共有 141 名个体(LVRNA012 组 46 名,安慰剂组 95 名)在加强免疫后 14 天出现有症状的 COVID-19 感染,疫苗效力为 51.9%(95%CI,31.3%至 66.4%)。大多数感染发生在干预后 90 天,此时 XBB 在社区中流行。LVRNA012 疫苗接种后,64%的参与者报告了不良反应,但大多数为轻度或中度。与安慰剂组(GMT 12.5[8.4,18.7])相比,LVRNA012 mRNA 疫苗加强免疫可显著提高针对先前免疫个体的 Omicron 变异 XBB.1.5 的中和抗体滴度(GMT 132.3[99.8,175.4])。

结论

LVRNA012 mRNA 疫苗具有免疫原性,在 Omicron 占主导地位期间能有效预防 COVID-19。

临床试验注册

ClinicalTrials.gov,标识符 NCT05745545。

https://cdn.ncbi.nlm.nih.gov/pmc/blobs/295d/11187303/92604b71fc6d/fimmu-15-1407826-g001.jpg

文献AI研究员

20分钟写一篇综述,助力文献阅读效率提升50倍。

立即体验

用中文搜PubMed

大模型驱动的PubMed中文搜索引擎

马上搜索

文档翻译

学术文献翻译模型,支持多种主流文档格式。

立即体验