• 文献检索
  • 文档翻译
  • 深度研究
  • 学术资讯
  • Suppr Zotero 插件Zotero 插件
  • 邀请有礼
  • 套餐&价格
  • 历史记录
应用&插件
Suppr Zotero 插件Zotero 插件浏览器插件Mac 客户端Windows 客户端微信小程序
定价
高级版会员购买积分包购买API积分包
服务
文献检索文档翻译深度研究API 文档MCP 服务
关于我们
关于 Suppr公司介绍联系我们用户协议隐私条款
关注我们

Suppr 超能文献

核心技术专利:CN118964589B侵权必究
粤ICP备2023148730 号-1Suppr @ 2026

文献检索

告别复杂PubMed语法,用中文像聊天一样搜索,搜遍4000万医学文献。AI智能推荐,让科研检索更轻松。

立即免费搜索

文件翻译

保留排版,准确专业,支持PDF/Word/PPT等文件格式,支持 12+语言互译。

免费翻译文档

深度研究

AI帮你快速写综述,25分钟生成高质量综述,智能提取关键信息,辅助科研写作。

立即免费体验

儿科弥漫性内在脑桥胶质瘤放疗反应预测:基于 MRI 形态学和 T2 强度的定量分析。

Pediatric diffuse intrinsic pontine glioma radiotherapy response prediction: MRI morphology and T2 intensity-based quantitative analyses.

机构信息

Department of Medical Imaging Center, Jinan University First Affiliated Hospital, No. 613, Huangpu Road West, Tianhe District, Guangzhou, 510630, Guangdong Province, China.

Department of Oncology, Guangdong sanjiu Brain Hospital, No. 578, Shatai South Road, Baiyun District, Guangzhou, 510510, Guangdong Province, China.

出版信息

Eur Radiol. 2024 Dec;34(12):7962-7972. doi: 10.1007/s00330-024-10855-9. Epub 2024 Jun 21.

DOI:10.1007/s00330-024-10855-9
PMID:38907098
原文链接:https://pmc.ncbi.nlm.nih.gov/articles/PMC11557687/
Abstract

OBJECTIVES

An easy-to-implement MRI model for predicting partial response (PR) postradiotherapy for diffuse intrinsic pontine glioma (DIPG) is lacking. Utilizing quantitative T2 signal intensity and introducing a visual evaluation method based on T2 signal intensity heterogeneity, and compared MRI radiomic models for predicting radiotherapy response in pediatric patients with DIPG.

METHODS

We retrospectively included patients with brainstem gliomas aged ≤ 18 years admitted between July 2011 and March 2023. Applying Response Assessment in Pediatric Neuro-Oncology criteria, we categorized patients into PR and non-PR groups. For qualitative analysis, tumor heterogeneity vision was classified into four grades based on T2-weighted images. Quantitative analysis included the relative T2 signal intensity ratio (rT2SR), extra pons volume ratio, and tumor ring-enhancement volume. Radiomic features were extracted from T2-weighted and T1-enhanced images of volumes of interest. Univariate analysis was used to identify independent variables related to PR. Multivariate logistic regression was performed using significant variables (p < 0.05) from univariate analysis.

RESULTS

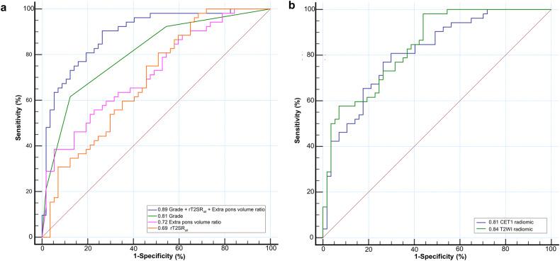
Of 140 patients (training n = 109, and test n = 31), 64 (45.7%) achieved PR. The AUC of the predictive model with extrapontine volume ratio, rT2SRmax-min (rT2SR), and grade was 0.89. The AUCs of the T2-weighted and T1WI-enhanced models with radiomic signatures were 0.84 and 0.81, respectively. For the 31 DIPG test sets, the AUCs were 0.91, 0.83, and 0.81, for the models incorporating the quantitative features, radiomic model (T2-weighted images, and T1W1-enhanced images), respectively.

CONCLUSION

Combining T2-weighted quantification with qualitative and extrapontine volume ratios reliably predicted pediatric DIPG radiotherapy response.

CLINICAL RELEVANCE STATEMENT

Combining T2-weighted quantification with qualitative and extrapontine volume ratios can accurately predict diffuse intrinsic pontine glioma (DIPG) radiotherapy response, which may facilitate personalized treatment and prognostic assessment for patients with DIPG.

KEY POINTS

Early identification is crucial for radiotherapy response and risk stratification in diffuse intrinsic pontine glioma. The model using tumor heterogeneity and quantitative T2 signal metrics achieved an AUC of 0.91. Using a combination of parameters can effectively predict radiotherapy response in this population.

摘要

目的

目前缺乏一种易于实施的磁共振成像(MRI)模型来预测接受放疗后弥漫性内在脑桥胶质瘤(DIPG)的部分缓解(PR)。本研究利用定量 T2 信号强度,并引入基于 T2 信号强度异质性的视觉评估方法,比较了用于预测儿科 DIPG 患者放疗反应的 MRI 放射组学模型。

方法

我们回顾性纳入了 2011 年 7 月至 2023 年 3 月期间入院的年龄≤18 岁的脑干胶质瘤患者。根据儿童神经肿瘤放射治疗反应评估标准,我们将患者分为 PR 组和非 PR 组。定性分析方面,根据 T2 加权图像将肿瘤异质性视觉分为 4 个等级。定量分析包括相对 T2 信号强度比(rT2SR)、桥外体积比和肿瘤环形增强体积。从感兴趣容积的 T2 加权和 T1 增强图像中提取放射组学特征。单变量分析用于确定与 PR 相关的独立变量。使用单变量分析中具有统计学意义的变量(p<0.05)进行多变量逻辑回归。

结果

在 140 名患者(训练集 n=109,测试集 n=31)中,64 名(45.7%)患者达到 PR。包含桥外体积比、rT2SRmax-min(rT2SR)和分级的预测模型的 AUC 为 0.89。基于放射组学特征的 T2 加权和 T1WI 增强模型的 AUC 分别为 0.84 和 0.81。对于 31 个 DIPG 测试集,包含定量特征、放射组学模型(T2 加权图像和 T1W1 增强图像)的模型的 AUC 分别为 0.91、0.83 和 0.81。

结论

定量 T2 加权与定性和桥外体积比相结合可可靠地预测儿科 DIPG 放疗反应。

临床相关性声明

定量 T2 加权与定性和桥外体积比相结合可以准确预测弥漫性内在脑桥胶质瘤(DIPG)放疗反应,这可能有助于为 DIPG 患者提供个性化治疗和预后评估。

关键点

早期识别对于弥漫性内在脑桥胶质瘤的放疗反应和风险分层至关重要。使用肿瘤异质性和定量 T2 信号指标的模型获得了 0.91 的 AUC。使用参数组合可以有效地预测该人群的放疗反应。

https://cdn.ncbi.nlm.nih.gov/pmc/blobs/969a/11557687/61ebb579020e/330_2024_10855_Fig6_HTML.jpg
https://cdn.ncbi.nlm.nih.gov/pmc/blobs/969a/11557687/bfbdaed4e67f/330_2024_10855_Fig1_HTML.jpg
https://cdn.ncbi.nlm.nih.gov/pmc/blobs/969a/11557687/067e335b4bf1/330_2024_10855_Fig2_HTML.jpg
https://cdn.ncbi.nlm.nih.gov/pmc/blobs/969a/11557687/f20887651716/330_2024_10855_Fig3_HTML.jpg
https://cdn.ncbi.nlm.nih.gov/pmc/blobs/969a/11557687/5657c72791aa/330_2024_10855_Fig4_HTML.jpg
https://cdn.ncbi.nlm.nih.gov/pmc/blobs/969a/11557687/1608aa9965f0/330_2024_10855_Fig5_HTML.jpg
https://cdn.ncbi.nlm.nih.gov/pmc/blobs/969a/11557687/61ebb579020e/330_2024_10855_Fig6_HTML.jpg
https://cdn.ncbi.nlm.nih.gov/pmc/blobs/969a/11557687/bfbdaed4e67f/330_2024_10855_Fig1_HTML.jpg
https://cdn.ncbi.nlm.nih.gov/pmc/blobs/969a/11557687/067e335b4bf1/330_2024_10855_Fig2_HTML.jpg
https://cdn.ncbi.nlm.nih.gov/pmc/blobs/969a/11557687/f20887651716/330_2024_10855_Fig3_HTML.jpg
https://cdn.ncbi.nlm.nih.gov/pmc/blobs/969a/11557687/5657c72791aa/330_2024_10855_Fig4_HTML.jpg
https://cdn.ncbi.nlm.nih.gov/pmc/blobs/969a/11557687/1608aa9965f0/330_2024_10855_Fig5_HTML.jpg
https://cdn.ncbi.nlm.nih.gov/pmc/blobs/969a/11557687/61ebb579020e/330_2024_10855_Fig6_HTML.jpg

相似文献

1
Pediatric diffuse intrinsic pontine glioma radiotherapy response prediction: MRI morphology and T2 intensity-based quantitative analyses.儿科弥漫性内在脑桥胶质瘤放疗反应预测:基于 MRI 形态学和 T2 强度的定量分析。
Eur Radiol. 2024 Dec;34(12):7962-7972. doi: 10.1007/s00330-024-10855-9. Epub 2024 Jun 21.
2
T2-weighted images are superior to other MR image types for the determination of diffuse intrinsic pontine glioma intratumoral heterogeneity.在确定弥漫性脑桥内生型胶质瘤的肿瘤内异质性方面,T2加权图像优于其他类型的磁共振图像。
Childs Nerv Syst. 2018 Mar;34(3):449-455. doi: 10.1007/s00381-017-3659-8. Epub 2017 Nov 18.
3
The relationship between imaging features, therapeutic response, and overall survival in pediatric diffuse intrinsic pontine glioma.小儿弥漫性内在脑桥胶质瘤的影像学特征、治疗反应与总体生存的关系。
Neurosurg Rev. 2024 May 10;47(1):212. doi: 10.1007/s10143-024-02435-8.
4
Reirradiation for diffuse intrinsic pontine glioma: prognostic radiomic factors at progression.弥漫性内生脑桥胶质瘤再放疗:进展时的预后放射组学因素。
Strahlenther Onkol. 2024 Sep;200(9):797-804. doi: 10.1007/s00066-024-02241-7. Epub 2024 May 15.
5
Radiomic Features Based on MRI Predict Progression-Free Survival in Pediatric Diffuse Midline Glioma/Diffuse Intrinsic Pontine Glioma.基于MRI的影像组学特征预测儿童弥漫性中线胶质瘤/弥漫性脑桥内在型胶质瘤的无进展生存期
Can Assoc Radiol J. 2023 Feb;74(1):119-126. doi: 10.1177/08465371221109921. Epub 2022 Jun 29.
6
T2-FLAIR Mismatch Sign and Response to Radiotherapy in Diffuse Intrinsic Pontine Glioma.弥漫性脑桥内生型胶质瘤的T2加权液体衰减反转恢复序列不匹配征象及对放疗的反应
Pediatr Neurosurg. 2021;56(1):1-9. doi: 10.1159/000513360. Epub 2021 Feb 3.
7
A pilot radiogenomic study of DIPG reveals distinct subgroups with unique clinical trajectories and therapeutic targets.一项 DIPG 的初步放射基因组学研究揭示了具有独特临床轨迹和治疗靶点的不同亚组。
Acta Neuropathol Commun. 2021 Jan 11;9(1):14. doi: 10.1186/s40478-020-01107-0.
8
MRI Patterns of Extrapontine Lesion Extension in Diffuse Intrinsic Pontine Gliomas.弥散性脑桥内在胶质瘤的桥外病变扩展的 MRI 模式。
AJNR Am J Neuroradiol. 2020 Feb;41(2):323-330. doi: 10.3174/ajnr.A6391. Epub 2020 Jan 23.
9
Exceptional Tumor Regression in Diffuse Intrinsic Pontine Glioma Post-Radiotherapy: A Case Study.弥漫性内生桥脑胶质瘤放疗后肿瘤消退显著:病例研究。
Am J Case Rep. 2024 Sep 30;25:e944869. doi: 10.12659/AJCR.944869.
10
Intraarterial delivery of bevacizumab and cetuximab utilizing blood-brain barrier disruption in children with high-grade glioma and diffuse intrinsic pontine glioma: results of a phase I trial.贝伐单抗和西妥昔单抗经颅内动脉给药联合血脑屏障破坏治疗儿童高级别胶质瘤和弥漫性内在脑桥胶质瘤的Ⅰ期临床试验结果。
J Neurosurg Pediatr. 2021 Aug 6;28(4):371-379. doi: 10.3171/2021.3.PEDS20738. Print 2021 Oct 1.

引用本文的文献

1
Machine learning for grading prediction and survival analysis in high grade glioma.用于高级别胶质瘤分级预测和生存分析的机器学习
Sci Rep. 2025 May 15;15(1):16955. doi: 10.1038/s41598-025-01413-4.

本文引用的文献

1
Clinical Efficacy of ONC201 in H3K27M-Mutant Diffuse Midline Gliomas Is Driven by Disruption of Integrated Metabolic and Epigenetic Pathways.ONC201 在 H3K27M 突变型弥漫中线脑胶质瘤中的临床疗效是通过破坏整合代谢和表观遗传途径实现的。
Cancer Discov. 2023 Nov 1;13(11):2370-2393. doi: 10.1158/2159-8290.CD-23-0131.
2
ONC201 in Combination with Paxalisib for the Treatment of H3K27-Altered Diffuse Midline Glioma.ONC201联合帕唑利司用于治疗H3K27改变的弥漫性中线胶质瘤。
Cancer Res. 2023 May 17:OF1-OF17. doi: 10.1158/0008-5472.CAN-23-0186.
3
Radiomic Features Based on MRI Predict Progression-Free Survival in Pediatric Diffuse Midline Glioma/Diffuse Intrinsic Pontine Glioma.
基于MRI的影像组学特征预测儿童弥漫性中线胶质瘤/弥漫性脑桥内在型胶质瘤的无进展生存期
Can Assoc Radiol J. 2023 Feb;74(1):119-126. doi: 10.1177/08465371221109921. Epub 2022 Jun 29.
4
Oncolytic DNX-2401 Virus for Pediatric Diffuse Intrinsic Pontine Glioma.溶瘤病毒 DNX-2401 治疗儿童弥漫性内在脑桥胶质瘤。
N Engl J Med. 2022 Jun 30;386(26):2471-2481. doi: 10.1056/NEJMoa2202028.
5
Suggestions for Escaping the Dark Ages for Pediatric Diffuse Intrinsic Pontine Glioma Treated with Radiotherapy: Analysis of Prognostic Factors from the National Multicenter Study.建议摆脱儿科弥漫性内在脑桥胶质瘤放疗后的黑暗时代:全国多中心研究的预后因素分析。
Cancer Res Treat. 2023 Jan;55(1):41-49. doi: 10.4143/crt.2021.1514. Epub 2022 Mar 4.
6
The 2021 WHO Classification of Tumors of the Central Nervous System: a summary.2021 年世卫组织中枢神经系统肿瘤分类:概述。
Neuro Oncol. 2021 Aug 2;23(8):1231-1251. doi: 10.1093/neuonc/noab106.
7
MRI-based radiomics for prognosis of pediatric diffuse intrinsic pontine glioma: an international study.基于磁共振成像的放射组学在儿童弥漫性脑桥内在型胶质瘤预后评估中的应用:一项国际研究
Neurooncol Adv. 2021 Mar 5;3(1):vdab042. doi: 10.1093/noajnl/vdab042. eCollection 2021 Jan-Dec.
8
A phase I/II study of bevacizumab, irinotecan and erlotinib in children with progressive diffuse intrinsic pontine glioma.贝伐珠单抗、伊立替康和厄洛替尼治疗进展性弥漫性脑桥内在胶质瘤患儿的 I/II 期研究。
J Neurooncol. 2021 Jun;153(2):263-271. doi: 10.1007/s11060-021-03763-1. Epub 2021 May 7.
9
T2-FLAIR Mismatch Sign and Response to Radiotherapy in Diffuse Intrinsic Pontine Glioma.弥漫性脑桥内生型胶质瘤的T2加权液体衰减反转恢复序列不匹配征象及对放疗的反应
Pediatr Neurosurg. 2021;56(1):1-9. doi: 10.1159/000513360. Epub 2021 Feb 3.
10
Correlation of multimodal F-DOPA PET and conventional MRI with treatment response and survival in children with diffuse intrinsic pontine gliomas.多模态 F-DOPA PET 与常规 MRI 与弥漫性内在脑桥胶质瘤患儿治疗反应和生存的相关性。
Theranostics. 2020 Oct 25;10(26):11881-11891. doi: 10.7150/thno.50598. eCollection 2020.